Lecturas: Educación Física y Deportes | http://www.efdeportes.com

ISSN 1514-3465

 

Efeito da hidroginástica associada ao treinamento

de flexibilidade no controle postural de idosas

Effect of Aquatic Gym Associated with Flexibility Training and does not Control Postural Movements

Efecto de la actividad aeróbica acuática asociada al entrenamiento

de flexibilidad sobre el control postural en mujeres mayores

 

Elciana de Paiva Lima Vieira*

elcianavieira@yahoo.com.br

Edmundo de Drummond Alves Júnior**

edmundodrummond@uol.com.br

Jonas Lírio Gurgel***

jonasgurgel@terra.com.br

 

*Doutora em Ciências do Cuidado em Saúde

Universidade Federal Fluminense (UFF)

**Doutor em Educação Física

Universidade Gama Filho (UGF)

***Doutor em Gerontologia Doutor em Gerontologia Biomédica

Pontifícia Universidade Católica do Rio Grande do Sul (PUCRS)

(Brasil)

 

Recepción: 10/10/2024 - Aceptación: 05/09/2025

1ª Revisión: 02/08/2025 - 2ª Revisión: 01/09/2025

 

Level A conformance,
            W3C WAI Web Content Accessibility Guidelines 2.0
Documento acessível. Lei N° 26.653. WCAG 2.0

 

Creative Commons

Este trabalho está sob uma licença Creative Commons

Atribuição-NãoComercial-SemDerivações 4.0 Internacional (CC BY-NC-ND 4.0)

https://creativecommons.org/licenses/by-nc-nd/4.0/deed.pt

Cita sugerida: Vieira, E. de P.L., Alves Júnior, E.D. de, e Gurgel, J.L. (2025). Efeito da hidroginástica associada ao treinamento de flexibilidade no controle postural de idosas. Lecturas: Educación Física y Deportes, 30(330), 98-112. https://doi.org/10.46642/efd.v30i330.7932

 

Resumo

    Introdução: O processo de envelhecimento envolve muitas mudanças que podem levar ao aumento do risco de quedas. Entre os fatores de risco, a mudança no controle postural e a perda de flexibilidade apresentam uma possível relação. Objetivo: Analisar o efeito do treinamento de flexibilidade associado à prática da hidroginástica no controle postural e na amplitude articular de movimento em idosas. Metodologia: 46 idosas foram alocadas em 2 grupos: 25 mulheres participaram do treinamento de flexibilidade, além da hidroginástica (GI), e 21 realizaram apenas hidroginástica (GC). Foram avaliados o controle postural medindo-se as oscilações do centro de pressão (CoP) e a amplitude articular máxima com o goniômetro. Resultados: Segundo análises das comparações das variáveis ​​medidas entre os grupos pelo teste t de Student, o GI não apresentou alterações significativas no controle postural. O GC demonstrou redução significativa na velocidade média (p=0,03) e deslocamento total do COP no eixo médio-lateral (CoPy) (p=0,04). O GI aumentou significativamente a amplitude articular máxima nas articulações do quadril e tornozelo. O GC apresentou redução significativa na velocidade média (p=0,03) e deslocamento total do CoP no eixo anteroposterior (p=0,04). O GI aumentou a amplitude de movimento nas articulações do quadril e do tornozelo. Conclusão: Portanto, o treinamento associado contribuiu para a melhora da amplitude de movimento máxima nas articulações do quadril e tornozelo. Além disso, a prática isolada da hidroginástica contribuiu para a melhoria do controle postural em idosas.

    Unitermos: Equilíbrio postural. Amplitude de movimento articular. Idoso.

 

Abstract

    Introduction: The aging process involves many changes that can increase the risk of falls. Among the risk factors, changes in postural control and loss of flexibility are likely related. Objective: To analyze the effect of flexibility training associated with aquatic gym on postural control and joint range of motion in elderly women. Methodology: 46 elderly women were divided into 2 groups: 25 women participated in flexibility training in addition to aquatic gym (IG), and 21 performed only aquatic gym (CG). Postural control was assessed by measuring center of pressure (CoP) oscillations and maximum joint range of motion with a goniometer. Results: According to the analysis of comparisons of the variables measured between the groups using the Student's t-test, the IG did not present significant changes in postural control. The CG demonstrated a substantial reduction in mean velocity (p=0.03) and total displacement of the COP in the mediolateral axis (CoPy) (p=0.04). The IG significantly increased the maximum joint range of motion in the hip and ankle joints. The CG showed a significant reduction in the mean velocity (p=0.03) and total displacement of the CoP in the anteroposterior axis (p=0.04). The IG increased the range of motion in the hip and ankle joints. Conclusion: Therefore, associated training contributes to the improvement of the range of motion in the hip and ankle joints. Furthermore, the isolated practice of aquatic gym contributes to the improvement of postural control in elderly women.

    Keywords: Postural balance. Articular range of motion. Aged.

 

Resumen

    Introducción: El proceso de envejecimiento implica muchos cambios que pueden llevar a un mayor riesgo de caídas. Los cambios en el control postural y la pérdida de flexibilidad posiblemente estén relacionados. Objetivo: Analizar el efecto del entrenamiento de flexibilidad combinado con aeróbicos acuáticos sobre el control postural y el rango de movimiento articular en mujeres mayores. Metodología: 46 mujeres mayores fueron divididas en dos grupos: 25 participaron en entrenamiento de flexibilidad además de aeróbicos acuáticos (GI) y 21 realizaron solo aeróbicos acuáticos (GC). El control postural se evaluó midiendo las oscilaciones del centro de presión (CdP) y el rango máximo de movimiento articular con goniómetro. Resultados: De acuerdo con el análisis de las comparaciones de variables medidas entre grupos mediante la prueba t de Student, el GI no mostró cambios significativos en el control postural. El GC demostró una reducción significativa en la velocidad media (p=0,03) y el desplazamiento total del CdP en el eje mediolateral (CdPy) (p=0,04). El GI aumentó significativamente el rango máximo de movimiento articular en las articulaciones de la cadera y el tobillo. El grupo control mostró una reducción significativa de la velocidad media (p=0,03) y del desplazamiento total del centro de presión en el eje anteroposterior (p=0,04). El grupo control aumentó el rango de movimiento en articulaciones de cadera y el tobillo. Conclusión: El entrenamiento combinado contribuyó a mejorar el rango máximo de movimiento en las articulaciones de cadera y tobillo. Además, la práctica aislada de aeróbic acuático mejoró el control postural en mujeres mayores.

    Palabras clave: Equilibrio postural. Rango de movimiento articular. Personas mayores.

 

Lecturas: Educación Física y Deportes, Vol. 30, Núm. 330, Nov. (2025)


 

Introdução 

 

    Problemas no controle postural, como perda de equilíbrio, maior tempo de geração de resposta postural e déficit na capacidade de controle postural, contribuem para um alto risco de quedas em idosos. O episódio de queda é considerado um grande problema de saúde pública pelo fato de ser considerado uma das causas de mortalidade e morbidade. (Pereira, e Kanashiro, 2022)

 

    Estudos apontam que a perda da amplitude de movimento articular também está associada à incidência de quedas e ao comprometimento do controle postural, principalmente devido à redução da mobilidade nas articulações do quadril, joelho, tornozelo e coluna vertebral (Khani, Ardakani, e Mansori, 2021). A associação entre controle postural prejudicado e amplitude de movimento articular reduzida no tornozelo em idosos é apontada por alguns autores (Hernández-Guillén et al., 2021; Wang et al., 2023). Tal relação pode ser atribuída a alterações na propriocepção distal dos membros inferiores, o que desencadeia a redução do tempo de percepção do movimento, gerando perda de equilíbrio (Henry, e Baundry, 2019).

 

    O controle postural consiste na capacidade de controlar a posição do corpo no espaço para manter a estabilidade e a orientação contribuindo para o equilíbrio corporal (Shumway-Cook, e Woollacott, 2010). Soriano-Férriz, e Alacid (2018) argumentam que a flexibilidade é a capacidade dos tecidos musculares esqueléticos de completar a amplitude de movimento fisiológica ao realizar um movimento ativo ou passivo, isto é, com ou sem auxílio de um indivíduo, respectivamente. (Soriano-Férriz, e Alacid, 2018)

 

    A hidroginástica é a prática de exercícios físicos específicos no meio aquático, podendo ser uma alternativa eficaz de exercício físico para melhorar o controle postural e diminuir o risco de queda. Além disso, a suspensão do indivíduo promovida pela água, condição conhecida como flutuação, além da pressão hidrostática favorece o aumento da extensibilidade dos tecidos musculares permitindo melhora da flexibilidade. (Santos, e Vilela, 2020)

 

    O presente estudo teve como objetivo analisar o efeito do treinamento de flexibilidade associado à prática de hidroginástica sobre o controle postural e amplitude máxima de movimento articular em mulheres idosas.

 

Metodologia 

 

Amostra 

 

    A amostra contou com a participação de idosas praticantes da hidroginástica oferecida pelo projeto Prev Quedas promovido pelo Instituto de Educação Física da Universidade Federal Fluminense (UFF, Rio de Janeiro, Brasil), iniciado em 2001. Foi utilizada abordagem direta às participantes, totalizando 46 idosas divididas em 2 grupos: intervenção (GI, n = 25) e controle (GC, n = 21). O GI (66,72 ± 6,90 anos) realizou o treinamento de flexibilidade associado às aulas de hidroginástica, durante 3 meses e o GC (69,19 ± 6,30 anos) realizou apenas as aulas de hidroginástica. As participantes do GI participavam da hidroginástica do projeto Prev Quedas há 24 meses (24,00 ±17,00 meses). A técnica de seleção foi a Amostra Intencional, ou seja, não houve randomização devido à dificuldade de recrutamento das idosas que estavam disponíveis para participar do estudo (Etikan et al., 2016). O tamanho da amostra foi adequado para atingir o poder de 0,8 e nível de significância de 0,05, baseado em estudo piloto realizado com 5 idosas de cada grupo para a variável goniométrica. O poder das medidas goniométricas variou de 0,92 a 0,96. A intervenção foi concluída conforme planejado, sem desistências ou exclusões, mantendo o tamanho amostral adequado para atingir o poder de 0,8.

 

    Os critérios de inclusão foram: mulheres com idade igual ou superior a 60 anos, que praticavam apenas a hidroginástica do projeto Prev Quedas, sem participar de outro programa de exercícios físicos e que apresentassem autorização para a prática de exercícios físicos. Os critérios de exclusão foram: idosas com doenças diagnosticadas pelo médico que comprometessem o controle postural, como cegueira ou baixa visão, labirintite, doenças osteoarticulares, demência, baixa capacidade cognitiva, história prévia de acidente vascular cerebral; que apresentassem duas ou mais faltas consecutivas no treinamento proposto, sem reposição, na mesma semana da falta ou na semana seguinte; que apresentassem histórico de queda nos últimos 12 meses; e que apresentassem baixa capacidade cognitiva verificada por meio do Mini-Exame do Estado Mental.

 

    O estudo proposto foi realizado nas dependências do projeto Prev-Quedas da Universidade Federal Fluminense (UFF). O projeto Prev-Quedas: prevenir quedas hoje evitará que você caia depois, consiste em um Projeto de Extensão, da UFF. Considerado um centro de convivência que oferece atividades físicas compostas por exercícios de alongamento, força, equilíbrio, relaxamento, propriocepção, além da hidroginástica, visando contribuir para a prevenção de quedas. Todas as atividades físicas propostas acontecem nas dependências do departamento de Educação Física da UFF, no campus Gragoatá, onde há salas de aula, ginásio e piscina.

 

    Os resultados das investigações do estudo obedecem aos princípios éticos que norteiam a Declaração de Helsinki. O estudo foi aprovado pelo Comitê de Ética em Pesquisa da Faculdade de Medicina da Universidade Federal Fluminense. Todas as participantes assinaram um termo de consentimento apresentado antes do início do treinamento e avaliações. Este estudo foi registrado pelo Registro Brasileiro de Ensaios Clínicos e pode ser consultado através do hiperlink https://ensaiosclinicos.gov.br/rg/RBR-5wmn5k

 

Coleta de dados - Testes e instrumentos 

 

    Estabilometria estática 

 

    A avaliação do controle postural foi feita através da Estabilometria Estática utilizada para medir os deslocamentos do centro de pressão (CoP) utilizando uma plataforma de força fixa de baixo custo construída e calibrada no Instituto de Educação Física da UFF (Alvarenga et al., 2011). As participantes subiram na plataforma descalças, na posição bípede, pés paralelos posicionados em ângulo natural, a uma distância de 25,5 cm entre eles. Foram realizadas três tentativas, com os olhos abertos, por 50 segundos, obedecendo 5 minutos entre as tentativas, nas quais a participante permaneceu sentada. Foram excluídos os primeiros e últimos 10 segundos equivalentes ao tempo de familiarização para a posição quieta e por cansaço na posição adotada gerando maior oscilação, respectivamente. As variáveis estabilométricas utilizadas foram: área de deslocamento do centro de pressão (CoP); velocidade média e deslocamento total de Cop nas direções anteroposterior (CoPx) e médio-lateral (CoPy) e bidimensional (CoPxy).

 

    Goniometria 

 

    A goniometria foi realizada para avaliar a amplitude máxima de movimento articular usando um goniômetro de acrílico transparente de 25 cm de comprimento da Surgical Fiber com valores expressos em graus. Inicialmente, os pontos articulares foram marcados com fita Norton, para o posicionamento dos braços fixos do goniômetro e, em seguida, houve a medição da amplitude máxima de movimento articular a partir da posição anatômica. Foi utilizado o método ativo, ou seja, a participante atinge a amplitude máxima de movimento articular sem a ajuda de outra pessoa, para ter uma ideia precisa da real condição da amplitude de movimento articular, com uma escala de 0 - 180° (graus). As participantes do estudo permaneceram vestidas com roupas que não atrapalhassem a execução dos movimentos medidos e o acesso à palpação dos pontos anatômicos para marcação. O resultado foi a subtração entre as medidas (final e inicial) para calcular o arco de movimento. Foram realizadas três tentativas para cada movimento. O goniômetro foi utilizado nas articulações do quadril, nos movimentos de flexão e abdução e na articulação do tornozelo, nos movimentos de flexão plantar e dorsiflexão. Em todos os movimentos foram medidos os lados direito e esquerdo. Toda a amostra foi avaliada uma semana antes do início do treinamento e três dias após o término da última sessão de treinamento.

 

Intervenção 

 

    Treinamento de flexibilidade 

 

    O treinamento de flexibilidade teve duração de três meses, com frequência semanal de dois dias não consecutivos, realizado no ano de 2013 no período de 24 de maio a 22 de agosto. Cada sessão durou 50 minutos. O método utilizado foi o Estático Passivo para atingir a amplitude máxima de movimento articular sem causar dor, mas leve desconforto, composto por séries de 4 repetições durante 60 segundos cada uma (Feland et al., 2001). O intervalo entre cada exercício e repetição foi de 10 segundos. Inicialmente, houve uma semana de familiarização com os exercícios realizados antes do início do treinamento de flexibilidade. Em caso de falta ao treino, as substituições eram realizadas pela manhã nos dias em que não havia treino regular. Os exercícios foram realizados na posição sentada na seguinte ordem: flexão de coluna com flexão de quadril e membros inferiores unidos e depois afastados, flexão plantar e dorsiflexão bilateral e flexão de quadril bilateral na posição sentada.

 

    Hidroginástica 

 

    Os exercícios de hidroginástica apresentaram frequência semanal de duas vezes, com duração total de 45 minutos, envolvendo exercícios aeróbicos, de força muscular para membros superiores e inferiores acompanhados de música. As aulas foram divididas nas seguintes fases: aquecimento de 5 minutos, realizado dentro da piscina, para preparar os principais grupos musculares a serem trabalhados; parte principal, com duração de 35 minutos, sendo 15 minutos de exercício aeróbico e 20 minutos de exercício; recuperação, com duração de 5 minutos, consistindo na realização de exercícios de menor intensidade. Nos casos de falta, aquelas que apresentaram 2 faltas semanais ou mais sem que tivesse ocorrido a devida reposição na mesma semana da falta ou na semana seguintes, foram excluídas do estudo. As participantes realizaram os exercícios na intensidade moderada de acordo com a percepção subjetiva de esforço. (Borg, 2000)

 

Análise de dados 

 

    Análise dos sinais estabilométricos 

 

    Os dados derivados da plataforma de força foram analisados da seguinte forma: 1) o sinal obtido foi importado para cada um dos 4 canais referentes a cada uma das células da plataforma. A conversão do sinal analógico para digital partiu da utilização da placa de aquisição de dados da National Instruments (14 bits) com resolução de ± 5 volts na faixa de tensão de entrada e saída. A frequência de amostragem foi de 100 Hz. A coleta e o processamento dos sinais coletados foram realizados no computador pessoal (Acer 4720z) utilizando o software Labview e em seguida, para análise dos sinais, o software SAD2 (32 bits) 2.61.07 MP para Windows XP. Os sinais do comportamento do CoP foram obtidos através das matrizes de calibração e sensibilidade oriundas do processo de calibração. Eles foram filtrados usando uma frequência de corte de 1 Hz no sistema Hamming no filtro FIR passa-baixa para remover a interferência. O componente de corrente contínua (DC) das amostras foi removido com um corte de tempo de 30 segundos, rejeitando os 10 segundos iniciais e finais de cada coleta (60% do tempo de coleta). Em seguida, os sinais comportamentais foram importados para o software Matlab 7.12 sendo CoPx, os cálculos no eixo anteroposterior, CoPy, no eixo médio-lateral e CoPxy, no eixo bidimensional. Foram calculados a velocidade média e o deslocamento total de CoP para cada eixo descrito, conhecido como estabilograma, considerado um parâmetro estabilométrico. Outro parâmetro calculado foi a área de deslocamento do CoP, conhecida como estatocinesigrama, com uma área elíptica de 95% dos dados em cada eixo, com o comprimento do eixo definido como 1,96 vezes o desvio nas origens (p ≤ 0,05 eixo x e y). A velocidade média de deslocamento do CoP nos eixos foi processada no software Excel 2007.

 

    Análise estatística 

 

    As análises estatísticas foram realizadas usando o software Bioestat 5.2. Todos os dados foram submetidos ao teste de Shapiro-Wilk Normality. Para comparações entre resultados intragrupo em condições pré-intervenção e pós-intervenção e; para comparações entre grupos, foi utilizado o teste t de Student para amostras independentes (entre grupos) e dependentes (intra), para dados com distribuição normal e quando não normal, Mann-Whitney para amostras independentes e Wilcoxon para dependentes.

 

    Para todas as análises, o nível de significância adotado foi p ≤ 0,05. Os valores foram expressos em média e desvio padrão.

 

Resultados 

 

    A Figura 1 apresenta os resultados da avaliação do controle postural. O GI não apresentou resultados significativos em todas as variáveis mensuradas ao comparar as condições Pré e Pós-intervenção. O GC apresentou redução significativa da velocidade média (p = 0,0382) e do deslocamento total do centro de pressão (p = 0,0406), ambos no eixo médio-lateral (CoPy).

 

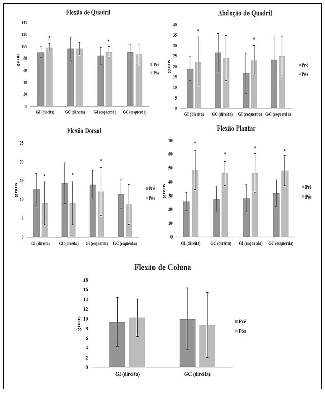
    Com relação aos resultados da goniometria, o GI apresentou maior amplitude articular máxima nos movimentos de flexão (direita, p = 0,0025; esquerda, p = 0,0358) e abdução do quadril (direita, p = 0,0020; esquerda, p = 0,0121) para ambos os lados. Na articulação do tornozelo, também houve aumento para ambos os lados nos movimentos de dorsiflexão (direita, p = 0,0091; esquerdo, p = 0,0223) e flexão plantar (p < 0,0001, para ambos os lados) quando comparadas as condições pré e pós-intervenção (Figura 2).

 

    O GC também apresentou aumento da amplitude articular máxima do tornozelo nos movimentos de dorsiflexão direita (p = 0,0036) e flexão plantar para ambos os lados (p < 0,0001) (Figura 2). No entanto, não foram encontrados resultados significativos para amplitude de movimento articular máxima na articulação do quadril nos movimentos de flexão (direita, p = 0,9248; esquerda, p = 0,1756) e abdução (direita, p = 0,9558; esquerda, p = 0,2514). Já na condição pré-intervenção quando comparado ao GI, apresentou maior valor no movimento de abdução do quadril em ambos os lados (direito, p = 0,0023; esquerdo, p = 0,0352).

 

Figura 1. Resultados da EMG

Figura 1. Resultados da EMG

Legenda: Pré = avaliação pré-intervenção; Pós = avaliação pós-intervenção; GI = grupo intervenção; GC = grupo controle; Copx = centro de pressão do eixo anteroposterior; Copy = centro de pressão do eixo médio-lateral; Copxy = centro de pressão bidimensional; *dados significativos; p < 0.05. Fonte: Dados de pesquisa

 

Figura 2. Resultados da Goniometria

Figura 2. Resultados da Goniometria

Legenda: Pré = avaliação pré-intervenção; Pós = avaliação pós-intervenção; GI = grupo intervenção; GC = grupo controle; Copx = centro de pressão do eixo anteroposterior; Copy = centro de pressão do eixo médio-lateral; Copxy = centro de pressão bidimensional; *dados significativos; p < 0.05. Fonte: Dados de pesquisa

 

Discussão 

 

    A hipótese do estudo foi a de que o treinamento de flexibilidade associado à prática da hidroginástica promove aumento na amplitude articular máxima e melhora do controle postural em mulheres idosas. De acordo com os achados do presente estudo, a hipótese foi confirmada quanto ao aumento da amplitude máxima de movimento articular. No GI, a articulação do quadril apresentou ganhos na amplitude articular máxima, para ambos lados, nos movimentos de flexão (direita, p = 0,0025; esquerda, p = 0,0358) e abdução (direita, p = 0,0020; esquerda, p = 0,0121). O mesmo resultado foi encontrado na articulação do tornozelo nos movimentos de dorsiflexão (direita, p = 0,0091; esquerda, p = 0,0223) e flexão plantar (p < 0,0001, ambos lados). Sobre o controle postural, a hipótese foi refutada, pois não foram identificados dados significativos para todas as variáveis estabilométricas.

 

    Os resultados do controle postural, medidos na plataforma de força indicaram que a prática isolada da hidroginástica resulta em melhora significativa do controle postural no eixo médio-lateral, representado pela redução da velocidade média e deslocamento total da CoPy (médio-lateral) quando comparada a esta mesma prática associada ao treino de flexibilidade. As reduções na oscilação do centro de pressão podem ser justificadas pelos constantes distúrbios do equilíbrio decorrentes da turbulência gerada nos exercícios aquáticos, exigindo maior estabilidade pela contração da musculatura dorsal e abdominal encontrada no grupo controle. Esses resultados corroboram com os estudos de Navarro-Ruiz, Caro-Alonso, e Rodríguez-Martin (2022) no estudo de revisão sistemática apontando que a prática de exercícios na água para indivíduos na faixa etária a partir de 50 anos, promove efeitos positivos para o controle postural tanto com os olhos abertos (p = 0,05) quanto com fechados (p = 0,02) (Navarro-Ruiz, Caro-Alonso, e Rodríguez-Martin, 2022). No presente estudo, as idosas praticantes de hidroginástica apresentaram melhora no controle postural, retratando deslocamento de CoPy (26%) e área de deslocamento total (18%), deslocamento de Copx (28,5%), com olhos abertos e CoPy (30,5%) e área de deslocamento total (28,5%) com olhos fechados. Zanin et al. (2019) avaliaram a habilidade de equilíbrio em idosas praticantes de hidroginástica, utilizando a Escala de Equilíbrio de Berg e a Escala de Equilíbrio e Mobilidade de Tinetti, e concluíram que a prática regular de hidroginástica com frequência semanal de 2 vezes, promoveu manutenção satisfatória nos níveis de equilíbrio nesses indivíduos. (Zanin et al., 2019)

 

    O estudo de Teixeira et al. (2008) comparou o controle postural, avaliado na plataforma de força, de idosas praticantes de exercícios combinados ou não, formando os seguintes grupos: 1) sedentárias que não realizavam nenhum tipo de exercício físico; 2) praticantes de hidroginástica; 3) praticantes de ginástica; e 4) e praticantes de hidroginástica e ginástica sistematicamente e simultaneamente. Os resultados indicaram que na direção médio-lateral, as praticantes de ginástica apresentaram melhor controle da postura do que as demais atividades tanto de olhos abertos quanto fechados. No entanto, esse resultado foi estatisticamente significativo quando relacionados com idosas sedentárias e com as praticantes de hidroginástica para situação de olhos abertos. Quando comparado com as atividades associadas, não foram identificadas diferenças significativas. Estes resultados não corroboram com os do presente estudo. No entanto, alguns fatores podem ter influenciado nas diferenças nos resultados descritos, como maior tempo de prática esportiva (5 anos), quando comparado ao tempo de prática de hidroginástica do presente estudo (2 anos), e a duração da intervenção, na qual foi não informada. (Teixeira et al., 2008)

 

    Campos (2019) comparou os efeitos de um treinamento multimodal com um programa de caminhada sob o controle postural, força muscular de membros inferiores, preensão manual, velocidade de marcha e flexibilidade de idosos residentes na comunidade. O treinamento multimodal era composto por exercícios para o controle postural, força muscular, flexibilidade e marcha. Os resultados demonstraram que o treinamento multimodal promoveu uma melhora no controle postural e força muscular de membros inferiores e o programa de caminhada promoveu melhora na velocidade de marcha e na flexibilidade de idosos da comunidade. (Campos, 2019)

 

    Em relação à amplitude de movimento articular máxima, no presente estudo, foi demonstrado aumento nas articulações do quadril e do tornozelo no grupo que praticou as atividades combinadas. Esse aumento pode ser justificado pela suspensão da participante promovida pela água durante o exercício, permitindo a execução de exercícios com maior amplitude de movimento articular. Porém, esses achados não corroboram com aqueles encontrados por Passos et al. (2008) que avaliaram a amplitude máxima de movimento articular em mulheres idosas submetidas a um programa de hidroginástica de 12 semanas. Os autores avaliaram a amplitude de movimento articular máxima por meio do goniômetro nas articulações do quadril e tornozelo, e não identificaram ganhos significativos na amplitude de movimento articular máxima, atribuindo seus resultados à ausência de treinamento de flexibilidade durante a prática da hidroginástica. Ainda, a amostra foi composta por idosas sedentárias, o que difere do presente estudo, em que a maioria praticava hidroginástica há 24 meses, justificando a divergência entre esses resultados. Por outro lado, Kim et al. (2013), submeteram 8 mulheres idosas ao programa de hidroginástica e encontraram aumento da amplitude de movimento articular máxima nas articulações do tornozelo e joelho. (Kim et al., 2013)

 

    Este estudo teve como limitação a avaliação de apenas um indicador de controle postural que foi a posição quieta. O tempo de participação dessas atividades pode ter influenciado nos resultados do treinamento de flexibilidade, onde sua duração pode ter sido insuficiente para demonstrar dados significativos sobre o controle postural. A ausência de progressão dos exercícios ao longo da intervenção também pode ter influenciado os achados. Desse modo, torna-se necessário a elaboração de investigações a respeito do efeito da combinação de exercícios sob o controle da postura em idosas.

 

Conclusão 

 

    Portanto, os resultados discutidos mostraram que o treinamento de flexibilidade associado à prática da hidroginástica não melhorou o controle postural em mulheres idosas, embora tenha promovido aumento da amplitude de movimento articular máxima nas articulações do quadril e do tornozelo. No entanto, observou-se que a prática isolada da hidroginástica melhorou o controle postural no eixo médio-lateral.

 

    Com base nos achados descritos, sugere-se incluir nos programas de exercícios físicos e reabilitação a prática isolada da hidroginástica para melhorar o controle postural. Ainda assim, sugere-se a prática da hidroginástica associada ao treinamento de flexibilidade para aumentar a amplitude máxima de movimento articular nas articulações dos membros inferiores, podendo ser consideradas medidas preventivas de quedas em mulheres idosas.

 

Referências 

 

Alvarenga, R., Porto, F., Braga, R., Cantreva, R., Espinosa, G., Itaborahy, A., Soares, PP, e Gurgel, J. (2011). Construction and calibration of a low-cost force plate for human balance evaluation. Portuguese Journal of Sports Sciences, 11(Suppl 2), 961-964. https://ojs.ub.uni-konstanz.de/cpa/article/view/4994

 

Borg, G. (2000). Escalas de Borg para dor e esforço percebido (1ª ed.). Editora Manole.

 

Campos, C.M. (2019). Efeitos de um treinamento multimodal no controle postural de idosos da comunidade [Tese de doutorado. Faculdade de Medicina, Universidade de São Paulo]. https://doi.org/10.11606/D.5.2019.tde-25102019-161648

 

Etikan, I., Musa, S.A., e Alkassim, R.S. (2016). Comparison of convenience sampling and purposive sampling. American Journal of Theoretical and Applied Statistics, 5(1), 1-4. https://doi.org/10.11648/j.ajtas.20160501.11

 

Feland, B., Myrer, W., Schulthies, S., Fellingham, G., e Meason, G. (2001). The effect of duration of stretching of the hamstring muscle group for increasing range of motion in people aged 65 years or older. Physical Therapy, 81(5), 1110-1117. https://doi.org/10.1093/ptj/81.5.1110

 

Hernández-Guillén, D., Tolsada-Velasco, C., Roig-Casasús, S., Costa-Moreno, E., Borjade-Fuentes, I., e Blasco, J.M. (2021). Association ankle function and balance in community-dwelling older adults. PloS One, 16(3), e0247885. https://doi.org/10.1371/journal.pone.0247885

 

Henry, M., e Baudry, S. (2019). Age-related changes in leg proprioception: implications for postural control. Journal of Neurophysiology, 122(2), 525-538. https://doi.org/10.1152/jn.00067.2019

 

Khani, M.K., Ardakani, K.M., e Mansori, M.H. (2021). Investigating the Relationship between Lower Limb Flexibility with Motor Function and Risk of Falling in Visually Impaired Individuals. Physical Treatments-Specific Physical Therapy Journal, 11(2), 93-102. http://dx.doi.org/10.32598/ptj.11.2.429.2

 

Kim, S.B., e O’Sullivan, D.M. (2013). Effects of aqua aerobic therapy exercise for older adults on muscular strength, agility and balance to prevent falling during gait. Journal of Physical Therapy Sciences, 25(8), 923-927. https://doi.org/10.1589/jpts.25.923

 

Navarro-Ruiz, A., Caro-Alonso, P.A., e Rodríguez-Martín, B. (2022). Eficacia del ejercicio acuático en personas mayores de 50 años prefrágiles. Una revisión sistemática. Gerokomos, 33(3), 168-174. https://scielo.isciii.es/scielo.php?script=sci_arttext&pid=S1134-928X2022000300007

 

Passos, B.M.A., Souza, L.H.R., Silva, F.M., Lima, R.M., e Oliveira, R.J. (2008). Contribuições da hidroginástica nas atividades da vida diária e na flexibilidade de mulheres idosas. Revista da Educação Física/UEM, 19(1), 71-76. https://doi.org/10.4025/reveducfis.v19i1.4316

 

Pereira, C.B., e Kanashiro, A.M.K. (2022). Falls in older adults: a practical approach. Arquivos de neuro-psiquiatria, 80(5 suppl 1), 313-323. https://doi.org/10.1590/0004-282x-anp-2022-s107

 

Santos, A.G., e Vilela, A.T. (2020). Benefícios físicos da hidroginástica na terceira idade. Revista Prisma, 1(2), 34-45. https://revistaprisma.emnuvens.com.br/prisma/article/view/20

 

Shumway-Cook, A., e Woollacott, H.M. (2010). Controle motor: Teoria e aplicações práticas (3ª ed.). Editora Manole.

 

Soriano-Férriz, B., e Alacid, F. (2018). Programas y ejercicios de flexibilidade dentro de las clases de educación física, en niños y niñas escolares, y su efecto en la mejora de la extensibilidad isquiosural: Una revisión sistemática. MHSalud, 15 (1), 1-12. http://dx.doi.org/10.15359/mhs.15-1.1

 

Teixeira, C.S., Lemos, L.F.C., Lopes, L.F.D., Rossi, A.G., e Mota, C.B. (2008). Corporal balance and physical exercises: An investigation in older adult women who practice different exercise modalities. Acta Fisiátrica, 15(3), 156-159. https://doi.org/10.11606/issn.2317-0190.v15i3a102939

 

Zanin, N.B., Mascarenhas, J.L., Torres-Silva, R., Mafra, F.F.P., e Macedo, M.M. (2019). Influência da prática de hidroginástica no equilíbrio e independência funcional de mulheres idosas. Revista Científica da Faminas, 14(1), 14-21. https://periodicos.faminas.edu.br/index.php/RCFaminas/article/view/414

 

Wang, L., Yu, G., Zhang, X., Wang, Y.Z., e Chen, YP (2023). Relationship between ankle pain, range of motion, strength and balance in individuals with functional ankle instability: a cross-sectional study. BMC musculoskeletal disorders, 24(1), 955. https://doi.org/10.1186/s12891-023-07079-1


Lecturas: Educación Física y Deportes, Vol. 30, Núm. 330, Nov. (2025)