efdeportes.com

Práctica de actividad física en adolescentes de 

la comarca del noroeste de la región de Murcia

Physical activity in adolescents of the northwest district of the region of Murcia

 

Graduado en Educación Primaria con Mención en Educación Física

por la Universidad de Murcia. Mención en Audición y Lenguaje por la Universidad

Camilo José Cela. Máster en Investigación en Educación Física y Salud

por la Universidad Católica de Murcia

Juan Fernández Martínez

juanfzmz@hotmail.com

(España)

 

 

 

 

Resumen

          En la presente investigación se pretenden mostrar los resultados encontrados en relación a los niveles de actividad física en adolescentes de la comarca del noroeste de la Región de Murcia, observándose la necesidad de fomentar experiencias activas. Se atenderán las variables de género, curso, tipo de centro de enseñanza e índice de masa corporal (IMC).

          Palabras clave: Actividad física. Adolescentes. Comarca del Noroeste. Región de Murcia.

 

Abstract

          In this research is intended to show the results in relation to the levels of physical activity in adolescents of the northwest district of the Region of Murcia, noting the need to promote active experiences. The variables of gender, course, type of education centre and body mass index (BMI) will be addressed.

          Keywords: Physical activity. Adolescents. Northwest district. Region of Murcia.

 

Recepción: 24/11/2015 - Aceptación: 09/03/2016

 

 
EFDeportes.com, Revista Digital. Buenos Aires, Año 21, Nº 215, Abril de 2016. http://www.efdeportes.com/

1 / 1

1.     Introducción

    Son muy numerosas y variadas las investigaciones que atienden a los niveles de actividad física, mostrando la gran mayoría de éstas los bajos índices de práctica en la sociedad en general. Si hay una etapa importante para concienciar y educar en torno a una cultura activa y saludable, no hay duda que esa es la adolescencia.

    Por tanto, adquiere una gran importancia la creación de hábitos activos desde edades tempranas, ya que van a generar múltiples beneficios a lo largo de sus vidas. Asimismo, se sabe que las personas que abandonan la práctica de ejercicio físico, sin importar el sexo, edad, peso o nivel de condición física, experimentan un incremento en los síntomas de negatividad (Weinstein, Deuster y Kop, 2007).

2.     Práctica de actividad física en adolescentes

2.1.     Marco conceptual

    Rodríguez-García (2006) define salud como el proceso a través del cual el hombre desarrolla sus capacidades y alcanza la plenitud de autorrealización personal y social. Por su parte, Casimiro (2002) entiende por estilo de vida el conjunto de hábitos que caracterizan la manera general de vivir de un individuo o grupo, y que se adquieren y desarrollan durante los procesos de socialización, ya sea en la relación con la familia y amigos, o por la influencia de la escuela, los medios de comunicación, y otros. En este sentido, uno de los hábitos más determinantes de un estilo de vida saludable es la realización de actividad física.

    La Organización Mundial de la salud (OMS) define la actividad física como cualquier movimiento corporal producido por los músculos esqueléticos que exija gasto de energía (Matsudo, 1997). Actividad física no debe confundirse con el concepto de ejercicio, ya que el último se trata de una variedad de actividad física planificada, estructurada, repetitiva y realizada con un objetivo relacionado con la mejora o el mantenimiento de uno o más componentes de la aptitud física.

    Por otro lado, la actividad física es cualquier tipo de movimiento corporal producido por los músculos esqueléticos que deriva en gasto energético (Caspersen, Powell y Christenson, 1985). Por tanto, la actividad física abarca el ejercicio, pero también otras actividades que implican movimiento corporal y que se realizan como parte de los momentos de juego, del trabajo, de formas de transporte activas, de las tareas domésticas y de actividades recreativas.

    Es preciso atender a la relación entre inactividad física y sedentarismo. Llamamos sedentarismo a aquellas actividades que realizamos las personas sentadas o reclinadas, mientras estamos despiertas, y que utilizan muy poca energía; mientras que las personas inactivas son aquellas que no alcanzan las recomendaciones de actividad física. Por ejemplo, una persona que realice menos de 150 minutos de actividad física moderada a la semana es inactiva, pero no sedentaria. Por su parte, puede ocurrir que una persona físicamente activa sea sedentaria, en el caso que ésta pase una gran cantidad de tiempo sentada (Ministerio de Sanidad, Servicios Sociales e Igualdad, 2015).

2.2.     Condiciones de una actividad física saludable

    Para los niños y jóvenes de entre 5 y 17 años, la actividad física consiste en juegos, deportes, desplazamientos, actividades recreativas, educación física o ejercicios programados, en el contexto de la familia, la escuela o las actividades comunitarias. Tienen el fin de mejorar las funciones cardiorrespiratorias, musculares, la salud ósea y de reducir el riesgo en enfermedades no transmisibles (OMS, 2014).

    Asimismo, autores como Castillo-Garzón (2007) e instituciones como la OMS (2014), establecen una serie de condiciones para una actividad física saludable en estas edades:

  • La actividad física debe estar adaptada al individuo y sus características.

  • Deben emplear como mínimo 60 minutos diarios en actividades físicas de intensidad moderada a vigorosa.

  • La actividad física por un tiempo superior a 60 minutos reportará un beneficio aún mayor para la salud.

  • Se atenderá al principio de progresión y globalidad, incrementando el volumen e intensidad de la actividad paulatinamente y buscando un desarrollo armónico e integral.

  • La actividad física diaria debería ser, en su mayor parte, aeróbica. Convendría incorporar, como mínimo tres veces por semana, actividades vigorosas que refuercen, en particular, los músculos y huesos.

2.3.     Beneficios y consecuencias de los niveles de práctica de actividad física

    El Ministerio de Sanidad, Servicios Sociales e Igualdad (2015) señala los siguientes beneficios provocados por la práctica de actividad física en los menores:

  • Mejora la forma física, la función cardiorrespiratoria, la fuerza muscular y la masa ósea y, además, disminuye la grasa corporal y ayuda a mantener un peso saludable.

  • Mejora la salud mental: mejora la autoestima, reduce los síntomas de ansiedad y depresión y disminuye el estrés. Además es divertido y ayuda a sentirse más feliz.

  • Ofrece oportunidades de socialización y el aprendizaje de habilidades.

  • Aumenta la concentración, lo que contribuye a tener mejores resultados académicos.

  • Favorece un crecimiento y desarrollo saludable.

  • Mejora las habilidades motrices, la postura y el equilibrio.

  • Disminuye el desarrollo de factores de riesgo asociados a enfermedades crónicas en la vida adulta como enfermedades del corazón, hipertensión, diabetes tipo 2, hipercolesterolemia (colesterol elevado), obesidad u osteoporosis, ya que muchos de estos factores pueden desarrollarse en las primeras etapas de la vida.

    Por su parte, Rodríguez-García (2006) y Castillo-Garzón (2007) señalan algunas más:

  • Disminuye el riesgo y las consecuencias de las caídas.

  • Mejora la actividad del sistema inmune.

  • Aumenta la capacidad de coordinación y respuesta neuro-motora.

    Además, se ha descrito que la práctica física habitual favorece la adopción de otros indicadores de salud como la condición física, la higiene corporal o una alimentación equilibrada (Casimiro, 2002).

    Por el contario, Paredes, Orraca, Marimón, Casanova y González (2014) apuntan que comportamientos sedentarios tienen una relación significativa con hipertensión, sobrepeso y obesidad, hipercolesterolemia, diabetes, consumo de alcohol y filtrado glomerural por debajo de 60 ml/min.

    Sin embargo, muchas veces se da por supuesto que los niños ya realizan actividad física suficiente en tiempo lectivo a través de la materia de Educación Física. Dicha afirmación queda en entredicho, ya que parece ser que el problema de sedentarismo incluye también el periodo escolar, lo cual se ha demostrado en diversos estudios, mostrando que la actividad física realizada en el colegio no es suficiente para promover beneficios saludables óptimos (Simons-Morton, O'Hara, Simons-Morton y Parcel, 1987). Se antoja complicado generar estas mejoras con dos horas de Educación Física en toda la etapa de Educación Primaria y otras dos horas en Educación Secundaria. Ardoy et al. (2010) muestra que duplicando la carga lectiva de Educación Física en Secundaria, además de permitir beneficios físicos como menores niveles de adiposidad o menor tensión diastólica, se produce un incremento en el desarrollo cognitivo y unos mejores resultados académicos.

2.4.     Situación actual

    La inactividad física constituye el cuarto factor de riesgo más importante de mortalidad en todo el mundo, con un 6% de las defunciones a nivel mundial (OMS, 2014). Sin embargo, está cada vez más extendida en muchos países, y ello repercute considerablemente en la salud general de la población mundial, en la prevalencia de enfermedades no transmisibles y en sus factores de riesgo, como la hipertensión, el exceso de glucosa en la sangre o el sobrepeso (OMS, 2014).

    A pesar de la multitud de beneficios que provoca una vida activa, numerosas investigaciones por todo el mundo han demostrado que los jóvenes no son lo suficientemente activos, disminuyendo los niveles de actividad física conforme avanzamos en edad (Chung, Skinner, Steiner y Perrin, 2012; Nader, Bradley, Houts, McRitchie y O'Brien, 2008). La adolescencia es la etapa en donde se observan más abandonos de actividad física, especialmente en las mujeres (Nelson, Neumark-Stzainer, Hannan, Sirard y Story, 2006).

    Tercedor et al. (2007) desarrolla una investigación en España con adolescentes de entre 13 y 18 años, señalando que el 59,2% de éstos eran físicamente activos, aunque existían diferencias significativas si se atendía al género, observándose un 71,1% en el masculino y un 46,7% en el femenino. Además, concluye que también se delimitan diferencias en cuanto a la edad, ya que cuanto mayor era la edad, menores eran los niveles de actividad física.

    Nuviala, Ruiz y García (2003) recogen datos algo superiores años antes entre alumnos de 10 y 16 años en donde el 66,7 % de los escolares practicaban actividad física (75,1% en chicos y 58,5% en chicas). Por otro lado, apuntan que en cuanto a los padres, existe una ligera diferencia a favor del género masculino con respecto a la actividad física que practican (25% de los padres, frente al 22% de las madres). Dicha práctica parental adquiere una gran importancia, dado que los adolescentes que están inscritos en alguna actividad física organizada afirman en mayor proporción que sus progenitores realizan actividad físico deportiva.

    La Encuesta Nacional de Salud desarrollada en España en 2013 señala que un 12,1% de sujetos de entre 5-14 años y un 35,2% de entre 15-24 años no realizan actividad física ninguna. Si se atiende al género, se puede observar como es mayor esta inactividad en las mujeres, delimitándose un 8,2% entre 4-14 años y un 21,4% entre 15-24 en hombres; mientras que un 16,3% entre 5-14 años y 49,5% entre 15-24 en mujeres.

    La Encuesta de Hábitos Deportivos desarrollada en España (García y LLopis, 2010), sitúa a la Región de Murcia con el tercer peor valor de niveles de actividad deportiva (36%) de España, solamente superada por Galicia (32%) y Extremadura (31%). Sin embargo, se ha producido un aumento de 2 puntos porcentuales con relación a 2005, al igual que pasa en la mayoría de las Comunidades Autónomas. Se ha de tener en cuenta que el rango de edad de la muestra abarca desde los 15 a los 75 años y se tiene en cuenta la práctica de uno o más deportes.

    Unos años después, la Encuesta Nacional de Salud (2013) muestra los altos índices de sedentarismo en la Región de Murcia en la población total. En este caso, se sitúa como segundo valor más alto (51,3%), únicamente por detrás de Cantabria (62,5%). En cuanto al género, las mujeres de Murcia (60%) son únicamente superadas por las de Cantabria (72,1%), mientras que los varones son el tercer registro más alto (42,7%), por debajo de Ceuta (49,1%) y Cantabria (52,4%).

3.     Niveles de actividad física en adolescentes de la comarca del noroeste

    Del total de 162 sujetos de la muestra, 78 eran hombres y 84 mujeres, suponiendo un 48,1% de la muestra en el primer caso y un 51,9% en el segundo. En cuanto a los cursos, 49 eran de primero de la ESO (30,2%), 42 de segundo (25,9%), 43 de tercero (26,5%) y 28 de cuarto (17,3%). Existía una mayor proporción de sujetos pertenecientes al centro público (n=96, 59,3%) que al privado (n=66, 40,7%). En la tabla 1 se muestra la frecuencia (n y %) de hombres y mujeres según en curso y el centro en toda la muestra.

Tabla 1. Frecuencia de hombres y mujeres según el curso y el centro en toda la muestra (n y %)

    En relación a la práctica de actividad física, los sujetos de toda la muestra practican actividad física el 50,86% de días de la semana (3,56 días/semana). Además, el 7,4% de la muestra es sedentario, no realizando ningún tipo de actividad física. En la tabla 2 se delimitan los valores de práctica física semanal de toda la muestra.

Tabla 2. Práctica de actividad física semanal en toda la muestra

    Atendiendo ahora a la actividad física semanal en función del género, se delimita que un mayor porcentaje de hombres realizan actividad física 7 y 5 días/semana, mientras que el mayor porcentaje de mujeres practican 2 y 3 días/semana (Tabla 3). En función del curso, la mayor frecuencia de práctica se reparte entre 2 y 3 días/semana para todos los cursos (Tabla 4). En el centro público la mayoría practican actividad física 3 días/semana, mientras que en el privado, 7 días/semana (Tabla 5). En cuanto al IMC, la mayor proporción de personas con sobrepeso practican entre 1 y 3 días/semana, mientras que los que tienen bajo peso se concentran en 3 y 7 días/semana (tabla 6).

Tabla 3. Días de práctica de actividad física semanal en función del género (%)

 

Tabla 4. Días de práctica de actividad física semanal en función del curso (%)

 

Tabla 5. Días de práctica de actividad física semanal en función del centro (%)

 

Tabla 6. Días de práctica de actividad física semanal en función del IMC (%)

    Relacionando las variables género y curso en cuanto a actividad física semanal, se observa como la mayor proporción de los varones de 1º de la ESO muestran los niveles de actividad física semanal más altos (25% los 7 días), y a medida que avanzan los cursos, la frecuencia de práctica va disminuyendo (22,2%, 19% y 13,3%). Por otro lado, en las mujeres, la mayoría practican 2 días/semana en 1º y 3º de ESO (36% y 40,9%), y se observa como en 4º de ESO la práctica de actividad física disminuye sensiblemente, no existiendo ningún sujeto que practique 6 ó 7 días semanales. En las figuras 1 y 2 se muestra la práctica de actividad física semanal en relación con el género y el curso. La figura de la izquierda muestra los datos de los hombres, y la de la derecha, los de las mujeres.

Figuras 1 y 2. Práctica de actividad física semanal en función del género y el curso

    Al relacionar las variables género y centro, se observa como en el género masculino la mayoría de los alumnos pertenecientes al centro público practican 5 días/semana (28,2%), mientras que los del privado practican 7 días/semana (30,8%). En cuanto a las mujeres, la mayoría de las practicantes pertenecen al centro público y se agrupan en 2-3 días/semana (26,3% y 24,6%). En el caso del privado la mayor proporción se observa en 2 días (33,3%). En las figuras 3 y 4 se muestran los datos de actividad física semanal, tipo de centro y género. La figura de la izquierda muestra los datos de los hombres, y la de la derecha, los de las mujeres.

Figuras 3 y 4. Práctica de actividad física semanal en función de género y centro

    En cuanto a la práctica de actividad física semanal en relación al género y el IMC, se puede observar como en el género masculino los sujetos con bajo peso o normo-peso son los que más días practican actividad física (7 días a la semana) (33,3% bajo peso y 18,8% normo-peso), aunque los hombres con normo-peso también practican más entre 3 y 5 días/semana (18,8%, 16,7% y 25%). Las mujeres con normo-peso siguen una pauta similar, aunque la mayoría se agrupan entre 2 y 4 días/semana (30,5%, 22% y 11,9%). Por otro lado, se encuentra algún caso de sobrepeso que practica 5 y 7 días/semana. En las figuras 5 y 6 se atiende a la práctica de actividad física semanal en relación al género y al IMC. La figura de la izquierda muestra los datos de los hombres, y la de la derecha, los de las mujeres.

Figuras 5 y 6. Práctica de actividad física semanal en función del género e IMC

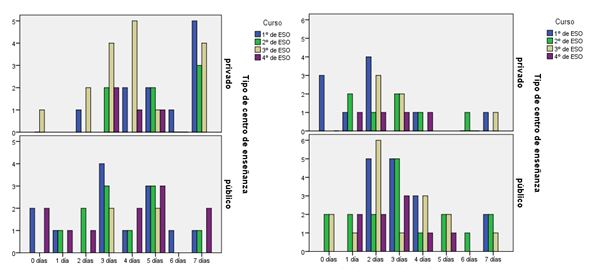
    Al relacionar la frecuencia de práctica de actividad física según género, curso y centro, en el género masculino del centro privado, la mayoría de los alumnos practican 7 o 4 días, según el curso; mientras que los del centro público practican más 3 o 5 días/semana (figura 7). En el género femenino ocurre lo contrario, la mayoría de las que van al público practican más días que la mayoría de las que van al privado (figura 8). La figura de la izquierda muestra los datos de los hombres, y la de la derecha, los de las mujeres.

Figuras 7 y 8. Práctica de actividad física semanal en función del género, centro y curso

4.     Conclusiones

    Como se ha observado, unas costumbres y estilos de vida activos van a generar multitud de beneficios a nivel psicológico, físico y social, independientemente de la condición física del individuo o su edad. A pesar de ello, las cifras se sitúan por debajo de las recomendaciones.

    En cuanto a los niveles de actividad física en adolescentes de la comarca del noroeste, se observa una mayor frecuencia de práctica física en hombres (casi la mitad la realizan 5 o más días semanales). Asimismo, se delimita que conforme se avanza en edad, los niveles de práctica disminuyen, especialmente en el género femenino. En cuanto al centro, existen unos mayores índices en el privado, no existiendo diferencias en cuanto a género. Además, los sujetos con bajo peso y normo-peso son los que más actividad física realizan durante la semana.

Bibliografía

  • Ardoy, D.N., Fernández-Navarro, J.M., Chillón, P., Artero, E.G., España-Romero, V., Jiménez-Pavón, D., Ruiz, J.R., Guirado-Escámez, C., Castillo, M.J. y Ortega, F.B. (2010). Physical fitness enhancement through education, EUDOFIT study: background, design, methodology and dropout analysis. Revista Española de Salud Pública, 84(2), 151-168.

  • Caspersen, C.J., Powell, K.E. y Christenson, G.M. (1985). Physical activity, exercise and physical fitness: definitions and distinctions for health-related research. Public Health Reports, 100(2), 126-131.

  • Casimiro, A. J. (2002). La actividad física como mejora de la salud de los escolares. En Actas del II Congreso de la Asociación Española de Ciencias del Deporte (pp. 349-368). Madrid: INEF.

  • Castillo-Garzón, M.J. (2007). Physical fitness is an important contributor to health for the adults of tomorrow. Selección, 17(1), 2-8.

  • Chung, A.E., Skinner, A.C., Steiner, M.J. y Perrin, E.M. (2012) Physical activity and BMI in a nationally representative sample of children and adolescents. Clinical Pediatrics, 51(2), 122–129.

  • García Ferrando, M. y Llopis Goig, R. (2010). Encuesta sobre los hábitos deportivos en España 2010. Ideal democrático y bienestar personal. Madrid: Centro de Investigaciones Sociológicas.

  • Matsudo, V.K.R. (1997). Actividade física e saúde. Âmbito Medicina Esportiva, 7, 17-20.

  • Ministerio de Sanidad y Consumo. Encuesta Nacional de Salud. (2013). Recuperado el 8 de octubre de 2015, de https://www.msssi.gob.es/estadEstudios/estadisticas/encuestaNacional/encuestaNac2011/DeterminantesSalud_DistribucionPorcentual.pdf

  • Ministerio de Sanidad, Servicios Sociales e Igualdad. (2015). Estilos de vida saludable. Recuperado el 21 de octubre de 2015, de http://www.estilosdevidasaludable.msssi.gob.es/actividadFisica/actividad/beneficiosSalud/menores/home.htm.

  • Nader, P.R., Bradley, R.H., Houts, R.M., McRitchie, S.L. y O’Brien, M. (2008) Moderate-to-vigorous physical activity from ages 9 to 15 years. Journal of the American Medical Association, 300(3), 295–305.

  • Nelson, M.C., Neumark-Stzainer, D., Hannan, P.J., Sirard, J.R. y Story, M. (2006). Longitudinal and secular trends in physical activity and sedentary behavior during adolescence. Pediatrics, 118(6), 1627-1634.

  • Nuviala, A., Ruiz Juan, F. y García Montes, M.E. (2003). Tiempo libre, ocio y actividad física en los adolescentes. La influencia de los padres. Retos. Nuevas tendencias en Educación Física, Deporte y Recreación, 6, 13-20.

  • Organización Mundial de la Salud. (2014). Actividad física. Recuperado el 4 de octubre de 2015, de http://www.who.int/dietphysicalactivity/pa/es/

  • Paredes, R., Orraca, O., Marimón, E.R., Casanova, M.C. y González, L.M. (2014). Influencia del sedentarismo y la dieta inadecuada en la salud de la población pinareña. Revista Ciencias Médicas, 18(2), 221-230.

  • Rodríguez-García, P.L. (2006). Educación Física y Salud en Primaria. Hacia una educación corporal significativa y autónoma. Barcelona: INDE.

  • Simons-Morton, B.G., O’Hara, N.M., Simons-Morton, D. y Parcel, G.S. (1987). Children and fitness: a public health perspective. Research Quarterly for Exercise and Sport, 58(4), 295-302.

  • Tercedor, P., Martín-Matillas, M., Chillón, P., Pérez López, I.J., Ortega, F.B., Wärnberg, J., Ruiz, J.R. y Delgado, M. (2007). Incremento del consumo de tabaco y disminución del nivel de práctica de actividad física en adolescentes españoles. Estudio AVENA. Nutrición Hospitalaria, 22(1), 88-94.

  • Weinstein, A.A., Deuster, P.A. y Kop, W.J. (2007). Heart rate variability as a predictor of negative mood symptoms induced by exercise withdrawal. Medicine and Science in Sports and Exercise, 39(4), 735-741.

Otros artículos sobre Educación Física

www.efdeportes.com/

EFDeportes.com, Revista Digital · Año 21 · N° 215 | Buenos Aires, Abril de 2016
Lecturas: Educación Física y Deportes - ISSN 1514-3465 - © 1997-2016 Derechos reservados