efdeportes.com

Cómo usar la observación en la psicología del deporte: principios metodológicos
Antonio Hernández Mendo y Maribel Molina Macías

http://www.efdeportes.com/ Revista Digital - Buenos Aires - Año 8 - N° 49 - Junio de 2002

2 / 4



2. Registros de datos

    En el trabajo de Anguera (en prensa), se afirma que la fase empírica de la observación se inicia desde el momento en que el observador empieza a acumular y clasificar información sobre eventos o conductas, con lo que posee unos datos provenientes de una transducción de la realidad. Ello deberá ser sistematizado progresivamente, pudiéndolo hacer a lo largo de una gradación con eslabones intermedios, los cuales suelen sucederse entre sí, al menos parcialmente, a medida que avanza el conocimiento del observador acerca de las conductas estudiadas y se acrecienta su rodaje específico.

    En términos generales, el registro es una "trascripción de la representación de la realidad por parte del observador mediante la utilización de códigos determinados, y que se materializa en un soporte físico que garantiza su prevalencia. El término registro suele usarse para hacer referencia tanto al proceso por el que se obtienen los datos, como al producto final, es decir, al conjunto de anotaciones almacenadas" (Anguera, Behar, Blanco, Carreras, Losada, Quera y Riba, 1993, p.613).

    Todo registro, por ajustarse al objetivo previamente delimitado, implica una selección de las conductas consideradas relevantes, y en función de sus características, a la técnica de registro elegida y a los recursos de que se dispone, deberá escogerse un sistema (escrito, oral, mecánico, automático, icónico, etc.) que facilite su simplificación y almacenamiento mediante una primera operación de carácter descriptivo.


2.1. Niveles descriptivos

    Existen diversos planos en los que se puede efectuar una descripción, y la decisión en favor de uno u otro repercute de forma determinante. El problema de fondo es el de la transducción de la corriente o flujo de conducta al registro, mediante la expresión verbal del contenido de la observación (Anguera, 1990). En este sentido, es cierto que un observador actúa desde niveles de descripción diferentes cuando toma nota rigurosa de las acciones técnicas del fútbol desarrollado por un equipo infantil que cuando lo realiza en la observación de un partido de fútbol profesional.

    Existen taxonomías relativas a niveles descriptivos, aunque no hay un criterio unánime en la literatura especializada, motivo por el que se ha ido imponiendo el criterio de los etólogos. Así, Lehner (1979), distingue entre descripción empírica o topográfica y descripción funcional, que corresponden, respectivamente, a la "descripción por operación" y "descripción por consecuencia". Las categorías obtenidas a partir de una descripción topográfica intentan simplemente catalogar conductas -generalmente motoras- con finalidad normativa, y no es muy habitual en psicología, aunque sí en etología. Un ejemplo sería la lista suministrada por McGrew (que aparece en el apéndice de Hutt & Hutt, 1970) de 111 conductas motoras de niños en una guardería. Por otra parte, las descripciones funcionales suministran información que puede resultar más valiosa, pero que implica más inferencia por parte del observador, así como más suposiciones implícitas al elaborar las categorías. Por ejemplo, nadar, llorar, etc.

    Con un ligero matiz diferencial, Martin & Bateson (1986) proponen tres tipos de descripción:

  1. Descripción de la estructura, apariencia, forma física o pautas temporales de la conducta. La conducta se describe en términos de postura y movimientos de los sujetos, pudiendo alcanzar un gran detalle, y requiriendo para ello de la capacidad y habilidad del observador para percibir sutiles diferencias.

  2. Descripción en función de las consecuencias, o efectos de la conducta en el contexto (en sentido amplio, abarcando tanto a otros sujetos como a objetos materiales, como a la especial disposición en que se hallan) en el que se produce su ocurrencia, o en el propio sujeto que la emite, aunque sin referencia a cómo se producen tales efectos; así, categorías como "obtener alimento" o "esquivar a un sujeto" serían un claro ejemplo.

  3. Una tercera forma de descripción se efectúa en términos de la relación espacial entre sujetos en un determinado entorno, por lo que el énfasis se halla no en lo qué hace el sujeto, sino dónde y con quién. Por ejemplo, "aproximarse" o "salir" se pueden definir en términos de cambios en la relación espacial entre dos sujetos.

    Desde una consideración cercana al grado de implicación del observador, también se distingue entre descripción ética (Gillièron, 1980; Coll, 1981), que tiene un indudable carácter externo, objetivo y exhaustivo, haciendo referencia a categorías previamente explicitadas en donde no actúa una selección de lo relevante y todos los detalles tienen igual importancia, y una descripción émica, que se sitúa en un nivel de identificación y precisión de las categorías significantes para el sujeto, y que se lograría intentando componer y relacionar las informaciones éticas extraídas por el observador.

    Finalmente, se matiza también entre unidades simples y complejas (Rodríguez-Delgado & Rodríguez-Delgado, 1962), y es frecuente que, en estos casos, como indica Rosenblum (1978), las propias condiciones bajo las cuales los sujetos son observados influyan directamente de forma que se adopte una taxonomía útil, dada la rigidez de la dicotomía establecida.

    Si se dispone de una flexibilidad en los niveles descriptivos más adecuados, de forma que exista una gradación continuada que incluya una gama de niveles descriptivos intermedios no situados en los extremos de posiciones bipolares, será mayor el ajuste y la articulación entre percepción e interpretación, con lo cual resulta beneficiada la calidad del registro observacional. Podría argüirse en contra que aumentaría la complejidad en la codificación y posterior análisis, pero ello puede solventarse adecuadamente si se hace uso adecuado de los parámetros observacionales establecidos en la métrica del registro (Carreras, 1993) y se lleva a cabo un tipo de análisis que se adecue a los datos recogidos.

    En buena parte de los casos, la inclusión en un mismo registro de varios niveles descriptivos, daría lugar a la superposición de diversas unidades y de cubrir el "continuum" de conducta, lo cual permitirá establecer una convergencia entre diferentes tipos de análisis (Blanco, 1983).


2.2. Sistematización

    Ahora bien, el plano en que se sitúa el registro es pobre e insuficiente si pretendemos, como se indicó anteriormente, la cuantificación de la conducta espontánea mediante la observación sistemática. Y de ahí la necesidad, mediante la codificación, de construir y utilizar un sistema de símbolos -que pueden ser de muy diversos órdenes- que permita la obtención de las medidas requeridas en cada caso.

    Entendemos por codificación el "proceso de elaboración conceptual, mediante un mecanismo representacional, de los comportamientos específicos percibidos. Ello supone una transformación del registro narrativo propio de las primeras fases de la observación a un sistema de símbolos altamente estructurado y acorde con el problema de investigación previamente definido (...)" (Anguera, Behar, Blanco, Carreras, Losada, Quera y Riba, 1993, p.591). El proceso de categorización, descrito más adelante, es precisamente una modalidad de codificación, que por su interés y amplitud de uso requiere que sea tratada con mayor detalle.

     Teniendo en cuenta que el nivel de sistematización (o grado de control externo) se extiende a lo largo de un "continuum" (Blanco y Anguera, 1993), adoptamos este criterio para mencionar las diferentes modalidades de registro.

     Las técnicas de registro más ampliamente difundidas son: Registros narrativos y descriptivos en ausencia de sistematización, registros semi-sistemáticos, listas de control y escalas de estimación cuando la sistematización es al menos parcial, y registro correspondiente al uso de un sistema de categorías o de formatos de campo cuando existe un nivel elevado de sistematización.

  1. Registros no sistemáticos
        En la fase pasiva de la investigación, o el primer registro de la fase activa, el registro es no sistemático, determinado, en general, por el escaso conocimiento de la situación y/o sujeto y/o conductas, y puede ser tanto narrativo como descriptivo, matices que sólo algunos autores han diferenciado (Evertson & Green, 1986).

        Definimos el registro narrativo como "descripción de bajo nivel, realizado mediante lenguaje oral o escrito, que es propio de fases iniciales de la observación, y se caracteriza por su falta de estructura" (Anguera, Behar, Blanco, Carreras, Losada, Quera y Riba, 1993, p.613), y se materializa en un texto en que se pormenoriza lo ocurrido, de forma parecida a como un reportero da cuenta de un acontecimiento social, y con escasa sistematización, ya que pueden existir lagunas o fallos en la ordenación de los hechos. Corresponde generalmente al período de observación exploratoria, y de ahí su gran importancia, ya que suministra una información básica, aunque por supuesto es insuficiente con fines evaluativos. Difiere de los sistemas de categorías (aunque éstos se hayan elaborado a partir de un remoto registro narrativo) en su dependencia del sistema perceptivo del observador, su habilidad del momento, el filtraje intencional realizado sobre lo qué conviene o no registrar, o la adecuación del propio léxico utilizado en la descripción de los hechos, ya que el observador registra narrativamente la información en lenguaje ordinario (Anguera, 1993).

        En consecuencia, el registro narrativo se caracteriza por el uso de un léxico no especializado, por una selección intencional de la información (es decir, por una carencia de exhaustividad respecto a las conductas que interesa evaluar), y la falta de correspondencia secuencial con la sucesión de hechos o conductas.

        A su vez, el registro narrativo puede presentarse bajo diversas modalidades (Fassnacht, 1982; Evertson & Green, 1978):

    • Diarios (no nos referimos únicamente al típico de la auto-observación, sino especialmente al resultante de la heteroobservación), con problemas generalizados de predominio de la interpretación sobre la percepción. Actualmente en desuso, su punto álgido se alcanzó hacia 1920, en que era habitual registrar la actividad diaria del niño en las épocas tempranas de su vida para estudiar su evolución.

    • Registros anecdóticos, que consisten en breves descripciones de un evento que ha ocurrido de forma inesperada, no interesando tanto la ocurrencia en un determinado sujeto, sino la manifestación de tales tipos de respuestas en general, lo cual constituye el criterio base para su agregación continuada. No requieren una codificación determinada.

    • Registros continuos, que tratan de captar los elementos más importantes de una serie de conductas o sucesos, constituyendo el esqueleto de muchos archivos de estudio de casos.

    • Registros de muestras, referidos únicamente a escenas concretas que deben transcribirse, y en las que se pueden precisar el encadenado y/o anidamiento de objetivos. Pueden ya someterse a una detallada codificación.

        El registro descriptivo muestra una evolución y avance respecto al registro narrativo, ya que existe una cierta estructuración, aunque ambos son textuales desde un punto de vista formal. Es frecuente la utilización de medios automáticos de grabación, la terminología utilizada es más precisa, e incluso aparecen intentos de categorización.

        El registro descriptivo se caracteriza por el uso de un léxico especializado, esta exhaustividad está en función del objetivo establecido, y orden secuencial de ocurrencia de las conductas. Por lo tanto, el contenido del registro descriptivo es de mucha mayor calidad que el narrativo, pero su grado de control externo sigue siendo bajo.

        Ejemplo: El jugador A recoge el balón del portero y avanza por el centro de la zona defensiva realizando una conducción del balón con toques suaves y precisos con la parte externa e interna del pie alternativamente. Cuando entra en la zona media del campo (zona de canalización del juego o zona ofensiva) y se enfrenta al primer delantero, golpea el balón fuertemente con la parte interior del pie, con un tiro hacia el lateral de la zona ofensiva donde está el jugador B que está libre de marcaje y con posibilidades de avanzar hacia la zona ultraofensiva (...).

  2. Registros con sistematización parcial
        Dado que ya anteriormente se mencionaba que el nivel de sistematización varía a lo largo de un "continuum", incluimos en este grupo todos aquellos registros en que está en marcha el proceso de consecución de mayor control externo, tratando de expresar de forma estructurada la información contenida en las conductas o eventos de forma que no se produzca pérdida de ella o de matiz expresivo.

        El registro semi-sistematizado, como tal, se usa poco, pero destaca especialmente por su interés didáctico y con el fin de facilitar la formación de observadores, dado que es muy útil realizar la transformación de un registro no sistematizado a uno semi-sistematizado, y de éste al sistematizado, y luego proceder por camino inverso para comprobar si se preserva sin distorsión la información relevante, es decir, si se mantiene la coincidencia entre el inicio y el final del proceso.

        Como principal característica, se establecen las unidades de observación, o mínima cantidad de información -y por tanto con cierto contenido- referidas a la conducta o evento que constituye el núcleo central de nuestra observación y al entorno que le rodea por estar en interacción constante, actuando como evento antecedente, evento consecuente o como ambos a la vez, si suceden a una conducta y preceden a la siguiente. Destaca de forma notoria no sólo el control temporal (inclusión de marcas referidas a las unidades de tiempo que se tomen como punto de referencia), que en ocasiones ya se inicia en el registro descriptivo, sino el de orden, indicándose mediante cifras correlativas la sucesión global de las acciones del sujeto y de los eventos antecedentes y consecuentes.

        Las listas de control constituyen un buen recurso siempre que ha de efectuarse un registro esquemático sobre la presencia o ausencia de conductas o eventos concretos. Se corresponden con las listas de acción (Anguera, 1985), y basta llevar a cabo una relación de las alternativas conductuales presentadas, a modo de inventario.

        Ejemplo: En la observación de un jugador de hockey sobre patines puede ser "recuperar", "perder", "tirar", "defender", etc.

        Las escalas de estimación, o de apreciación, o de evaluación, constituyen medidas destinadas a cuantificar las impresiones que se obtienen en el acto de observar mediante un sistema rápido que, sin embargo, presenta gran riesgo de subjetividad. Pueden ser de varios tipos, y el más conocido es la "rating scale", en la que una serie de estimaciones del observador se asignan a los correspondientes niveles que presenta. Es muy frecuente asignar los valores 0 a 10, y hay que tener presente que muchos evaluadores presentan una tendencia que sistemáticamente acerca las puntuaciones a valores centrales o extremos.

        Ejemplo: En la evaluación de la conducta de posesión de la bola de un jugador de hockey sobre patines, una escala de estimación podría ser:

  3. Registros sistematizados
        Cualquiera de los tipos de registro anteriormente mencionados deberá transformarse en registro sistematizado para que la información recogida pueda considerarse como "datos netos", y por tanto sea capaz de dar lugar a resultados precisos.

        No existe una modalidad de registro específica, aunque se requiere un máximo grado de control externo, y éste se consigue especialmente cuando se registra a partir de un sistema de categorías o de formatos de campo.


2.3. Registro en fase exploratoria

2.3.1. Conocimiento de la situación

    Este apartado consideramos que ya ha sido abordado en el punto 2.1.4. relativo a la Descripción de la situación. En este punto se trataron los cuatro puntos básicos de delimitación del contexto, a saber: (a) el relativo a las características físicas del espacio de juego (dimensiones, zonas, etc.; (b) la descripción del juego como una actividad pautada con descripción de las principales normas de juego; (c) descripción del número de jugadores que intervienen en cada uno de los deportes y (d) el nivel organizativo implicado en los tres deportes que se abordarán en esta investigación.


2.3.2. Entrenamiento y formación del observador

    Uno de los elementos importantes de un estudio observacional es el relativo a la competencia del observador (Anguera, 1990) y esto lleva directamente al tema de su formación. Parece evidente la existencia de diferencias naturales de los sujetos, pero está demostrado (Fraisse, 1970; Norris, 1984) que la competencia del investigador especializado en la observación sistemática se fundamenta en la adquisición de unas habilidades específicas a esta metodología (Boice, 1983) y con las que debemos ser consecuentes.

    Es evidente que se ha superado la situación de "psychologist are born, not made" (Reik, 1948, p.14) o incluso el de la dificultad de establecer criterios para distinguir a los buenos observadores (Taft, 1955). Actualmente, independientemente de la variabilidad en las capacidades perceptivas o descriptivas de los observadores, se tiende a asumir el logro de unas habilidades muy semejante (Engram, 1976) y, consecuentemente, obtener informes también similares (Longabaugh, 1980) y lo mismo ocurre en la auto-observación (Schrier, Carver & Gibbons, 1979; Mueller & Courtois, 1980), revistiendo en ambos casos gran importancia para la obtención de sólidos equipos de investigadores (Fiske, 1979). Esto estará influenciado por el grado de facilidad o dificultad intrínseco que presente el nivel de respuesta estudiado. Existen unas áreas de estudio consideradas óptimas ya que no presentan problemas iniciales de observación. Así Boice (1983) cita tres de ellas, a saber: a) comunicación no verbal (De Paulo & Rosenthal, 1979; Haase y Tepper, 1972; Woolfolk, 1981; Zuckerman, De Frauk, Hall & Rosenthal, 1978), b) habilidades sociales (Curran, Bech, Corrineau & Monti, 1980; Curran & Mariotto, 1980; Curran & Monti, 1982) y c) terapia (Kent, 1974; Matarazzo, 1978; Foster & Cone, 1986). Se podrían incorporar muchas otras, con la tranquilidad de tener medios para detectar la aparición de distorsiones (House, 1980) de diferente naturaleza, que podrían evitarse, en buena parte de los casos, con una correcta planificación de la investigación y el necesario adiestramiento (Anguera, 1983); por ejemplo cuando aparece una inconsistencia en el registro debido a la gran variabilidad que ejercen los diferentes momentos o situaciones (Fisk, 1978), o bien elementos externos (Rusell & Bernal, 1977), o contextuales (Hoffman & Nead, 1983).

    Todo esto refuerza el posicionamiento de que, a pesar de las diferencias individuales, (Lavrakas & Maier, 1979) puede conseguirse, en buena medida, una mejora en el rendimiento como observador (Johnson & Bolstad, 1973; Gladding, 1978) capaz de solventar problemas que antes podían achacarse a una supuesta inobservabilidad del comportamiento.

    La diferenciación que derivaría de considerar al "investigador" que planifica un estudio de metodología observacional, y el "observador" que lleva a cabo el registro (Barber, 1976), sería altamente útil por entender que los progresos metodológicos y los de carácter técnico -cuya incorporación corresponde al investigador- favorecerían una mayor observabilidad en todos los casos, aunque, por supuesto, de forma óptima en los observadores con mayor competencia "per se", y, por tanto, con mayor facilidad para "dar testimonio de los percibido" (Loftus, 1979; Yarmey, 1979).


2.3.3. Codificación previa

    En esta investigación, en la que se abordan tres deportes sociomotores distintos (hockey sobre patines, fútbol y voleibol), se han realizado diez sesiones de observación iniciales para abordar la toma de decisiones previas en cuestiones relativas al tipo de registro que se va a utilizar, cuestiones referidas al muestreo, número de sesiones que se van a codificar para su análisis posterior, etc. Estas sesiones también fueron utilizadas para optimizar los sistemas de categorías en cada uno de los deportes, con el fin de que se adaptaran perfectamente a la situación para la cual fueron construidas.


2.4. Proceso de categorización

    El sistema de categorías constituye el instrumento de observación por excelencia en metodología observacional, dado que no existe ninguna situación que pueda considerarse prototípica, sino que, por ser imprevisible el conjunto de la observación -tanto en conjunto como en cada instante de tiempo-, se requiere la construcción de una especie de andamiaje que proporcione soporte y cobertura a aquellas conductas que, mediante la correspondiente operación de filtrado, son consideradas relevantes de acuerdo con los objetivos de la investigación, y todo ello con un máximo de flexibilidad que posibilite la adaptación al flujo de conducta tal cual transcurre y a la situación y contexto en que se inscriba. Según Hawkins (1982), a la descripción escrita de los eventos a observar y registrar, se le añaden ciertas reglas referidas a cómo debe llevarse a cabo dicha observación y registro, y la finalidad de las categorías radicaría en llevar al investigador desde un nivel inicial e impresionístico de observación a otro formal, sistemático, cuantitativo y replicable en su medida.

    El término "categoría" es equívoco, aunque no arbitrario, y a lo largo de su historia ha dado lugar a numerosas acepciones, habiendo sido utilizado -erróneamente- como equivalente a clasificación, clase y taxonomía. Una categoría existe siempre que dos o más objetos o eventos distinguibles se tratan de forma equivalente (Mervis & Pani, 1980; Mervis & Rosch, 1981). Anguera (1990) ha propuesto como concepto de categoría el resultado de una serie de operaciones cognitivas que llevan al establecimiento de clases entre las cuales existen unas relaciones de complementariedad, establecidas de acuerdo con un criterio fijado al efecto, y en donde cada una de ellas cumple a su vez requisitos internos de equivalencia en atributos esenciales, aunque pueda mostrar una gama diferencial o heterogeneidad en su forma. Como consecuencia, la categorización es una "modalidad particular de la codificación, caracterizada por un conjunto de símbolos -categorías-, que forman un sistema cerrado que se ajusta a las condiciones de exhaustividad en el ámbito considerado y mutua exclusividad. Este sistema implica la presencia de núcleos conceptuales, pertenecientes a uno o más niveles de respuesta, que pueden corresponder a distintas manifestaciones del comportamiento (grado de apertura de la categoría)" (Anguera, Behar, Blanco, Carreras, Losada, Quera y Riba, 1993, p.591).

    Existe una cierta diferenciación según que el proceso de categorización se desarrolle en una investigación con un substrato teórico o bien a partir de una evidencia empírica de la que sólo existe una constancia descriptiva. En investigaciones en que se cuenta con una cobertura teórica, y por tanto son de carácter deductivo, las unidades de observación nunca serán ateóricas por principio, y los términos conceptuales que se sitúan en la estructura formal de la teoría en la que el estudio se apoya, sean individualmente o agrupadas, darán lugar al contenido que deberá hallarse bajo la cobertura del sistema de categorías, propuesto inicialmente como primer borrador provisional, y optimizado en sucesivas revisiones y comprobaciones. Otra cuestión distinta es la definición de las categorías, la decisión sobre su número, relaciones existentes entre ellas, y análisis de sus componentes. En este caso, sí podría hablarse de unas bases apriorísticas que configuran un sistema cerrado que se correspondiera con la estructura conceptual de la que se parte.

    En investigaciones de marcado carácter inductivo, al carecer de marco conceptual de referencia suficientemente consistente, es la mera trascripción de los hechos, a través del nivel descriptivo adecuado, la que permitirá elaborar la lista de rasgos, o relación de unidades de observación (a partir de las de conducta), preferentemente con un número de orden que actúa de indicador para diferenciar las sucesivas de las simultáneas (perteneciendo generalmente a diferentes niveles de respuesta). Como indican Evertson & Green (1986), se trata inicialmente de potencialidades a partir de un sistema abierto, utilizándose los símbolos que se establezcan para llevar a cabo una codificación correspondiente a las unidades de conducta ejecutadas en las distintas ocurrencias registradas -tomando siempre como referencia los "elementos conductuales" (Caballo, 1988, p. 28) o de carácter observable-, y emprender la trabajosa tarea de agruparlas por afinidades y semejanzas, pudiéndose adoptar en este sentido diferentes criterios (topográfico, funcional, nivel de respuesta, etc.), y proponiéndose, en consecuencia, un primer sistema provisional de categorías que, por supuesto, deberá someterse a comprobación en sesiones dedicadas a este fin para ajustarlo paulatinamente a la realidad, siendo factible desglosar categorías provisionales con contenido excesivamente amplio, agrupar otras afines en las que era irrelevante su diferenciación, proponer categorías nuevas, eliminar las que no tengan una correspondencia con la realidad, y, en definitiva, mejorar individual y globalmente todas las categorías del sistema que lo requieran hasta que se garantice un verdadero ajuste de las conductas de las sesiones observadas.


2.4.1. Componentes de las categorías

    Cada categoría debe estructurarse formalmente en términos de un núcleo conceptual (Smith & Medin, 1981) y un nivel de plasticidad denominado "grado de apertura" de la categoría, hallándose consecuentemente necesitada de un procedimiento de identificación (Anguera, 1993). Toda categoría posee una estructura interna y presenta propiedades formales que justifican su carácter alternativo en la descripción de las conductas y su entorno, así como propiedades funcionales, que definen las relaciones contingentes que adquieren entre sí ("estructura intercategorial", según Lingle, Alton & Medin, 1984).

    El núcleo categorial consiste en el contenido básico o fundamental que da razón de ser a una categoría y que la diferencia de otras; en otros términos, se trata de la esencia que caracteriza a cada categoría, independientemente de cuál(es) sea(n) la(s) manifestación(es) externa(s) del comportamiento o escena estudiados.

    Ejemplo: Descripción del núcleo categorial de una de las conductas de tiro en hockey sobre patines ejecutadas desde el área.

TABO: Tiro desde el Area Bien Orientado.
Núcleo categorial
Definición: Es una acción de tiro (golpear la bola violentamente con el stick sobre la portería contraria con el objetivo de conseguir un tanto o gol) que se ejecuta desde la zona del área con una buena orientación (es un disparo con una buena orientación dentro de los límites determinados por la porteria o entre palos y que no se convierte en gol debido a la acción del portero).

     El nivel de plasticidad o "grado de apertura" de una categoría viene dado por la heterogeneidad aparente de características de ocurrencias que, sin embargo, participan del mismo núcleo categorial y comparten las mismas propiedades abstractas indicadas. Es decir, las diferentes manifestaciones perceptibles -y, por tanto, externas- de la(s) conducta(s) que conforma(n) un núcleo categorial. Este tiene carácter conceptual, mientras que el nivel de apertura se halla fuertemente condicionado por el aspecto empírico, ya que se trata de las características moduladoras o "cualidad" detectable de los comportamientos. En el nivel de plasticidad deben fijarse los casos extremos que aún permiten la consideración como base del núcleo categorial, y entenderse que la diversidad de circunstancias que pueden influir en ocurrencias conceptualmente idénticas, pero perceptiblemente distintas, estarán lógicamente condicionando el grado de apertura de las respectivas categorías.

     Ejemplo:
TABO: Tiro desde el Area Bien Orientado.
Grado de abertura:
-Dentro de este tipo de tiro consideraremos las cuatro clases de tiro que se pueden ejecutar:

  1. El tiro de pala, es un tiro raso o alto. En el primer caso se ejecuta golpeando la bola en su parte superior cuando aquella está al lado del patín y el stick adelantado. Para el segundo caso la bola se golpea en su parte inferior cuando ésta se sitúa por delante del patín y se colocará el stick de la forma habitual.

  2. Tiro de cuchara. El agarre del stick se realiza de igual manera que en el tipo de tiro anterior, para ejecutarlo se efectúa una torsión de la cintura para tirar por el otro lado. Al igual que en el tiro de pala se siguen las mismas especificaciones para tiros bajos o tiros altos.

  3. El tiro de arrastre puede ser de pala o cuchara. El agarre será el mismo, pero en este caso no se golpea sino que se lanza mediante un movimiento de arrastre de la bola respecto al patín.

  4. Tiro de media vuelta, este tiro se ejecuta cuando el jugador en posesión de la bola está de espaldas a la portería contraria. El giro se produce simultáneamente con el disparo, o bien se pasa la bola entre las piernas para tirar después de dar media vuelta, o bien dejándola pasar por detrás de las dos piernas para rematarla por el otro lado.

Se consideran igualmente en esta categoría todos los disparos sobre la portería contraria ejecutados desde cualquier punto dentro de la zona del área en cualquier modalidad de disparo y cuya línea de tiro o impacto está situado entre los postes que delimitan la portería.

     El uso adecuado de las categorías implicará la asignación de una ocurrencia o aspecto de ella a una determinada categoría, por lo que se entiende que participa del núcleo categorial y encaja en su grado de apertura.


2.4.2. Adecuación de un sistema de categorías

    No sólo debe estudiarse la individualidad de cada una de las categorías, sino que es fundamental además la estructura del conjunto que forma el sistema.

    El sistema de categorías debe cumplir dos condiciones básicas: Exhaustividad y mutua exclusividad. La exhaustividad se refiere a que cualquier comportamiento del ámbito considerado como objeto de estudio (que habrá sido seleccionado y muestreado del repertorio conductual del sujeto) puede asignarse a una de las categorías; en consecuencia, dicho sector de comportamiento se podría descomponer, a nivel conceptual, en el conjunto de los núcleos categoriales -o esencia, que diría Aristóteles-. La mutua exclusividad significa el no solapamiento de las categorías que componen un sistema, por lo que a cada comportamiento se le asignaría una y sólo una categoría. Sin embargo, y desde el punto de vista de los niveles de respuesta que interesen, puede no ser posible -ni incluso conveniente en ocasiones (Brownell & Caramazza, 1978)-, dado que es evidente la co-ocurrencia de varias conductas pertenecientes a distintos niveles, por lo que en este caso podrían crearse pseudocategorías múltiples que abarcaran todas las posibles combinaciones entre las iniciales. Por ejemplo, si {A} desplazarse, {B} posesión de la bola, y {C} atacar, deberían crearse las nuevas categorías {AB}, {AC}, {BC} y {ABC}.

    Las categorías tienen que definirse de forma que se contemplen todos sus matices, así como acompañarse de ejemplos y contraejemplos para que su especificación sea mayor.

    Dado que la elección de unas categorías u otras no es única en absoluto, sino depende de quién las elabore, los sistemas de categorías relativos a una determinada situación o comportamientos (por ejemplo, conducta interactiva de una díada atacante-defensor) serán equivalentes si durante el proceso de categorización se adoptan los mismos criterios, pero se trata de una equivalencia en su conjunto, no categoría por categoría, sino del conjunto formado por todos los núcleos categoriales.

    En consecuencia, tiene sentido la comparabilidad de dos o más sistemas de categorías, lo cual puede dar lugar a cuestiones interesantes para ser estudiadas: Si el criterio taxonómico es el mismo, se podrían estudiar diferencias en la tipología de observadores independientes a los que simplemente se les hubiera pedido que elaboraran un sistema de categorías con determinado criterio; pero si no existe criterio previamente fijado, y se categoriza una situación o conducta problema a partir de diversos criterios, registrándose simultáneamente con los respectivos sistemas de categorías, estamos planteando un diseño transversal (perspectiva sincrónica), que tendrá un adecuado tratamiento a nivel de análisis de datos. Incluso puede ocurrir que sistemas de categorías que se diferencian en nivel de análisis sean utilizados en el mismo estudio ayudándose entre sí en este sentido, Bakeman & Gottman (1989) se refieren al uso de un sistema de categorías basado en un criterio social en el estudio de la conducta interactiva para describir estados emocionales en diversos momentos, como enfado, tristeza, etc., pero mientras los observadores anotaban también la producción de expresiones faciales en cada momento estudiado; en este caso, los movimientos faciales se codificaron mediante el sistema FACS (Facial Action Coding System) de Ekman & Friesen (1978). Dado que también se registraban datos psicofisiológicos durante la interacción, y que interesaba conocer la posible existencia de perfiles fisiológicos específicos para categorías también específicas de expresiones faciales, resulta que el sistema basado en los aspectos sociales se utilizó como ayuda en la utilización de un sistema basado en lo físico y más detallado.

    El lento proceso de construcción de un sistema de categorías, que se va optimizando hasta que se adapta adecuadamente a la situación para la cual fue elaborado, puede dar lugar frecuentemente a la consideración de una falsa estabilidad, dado que su carácter de "instrumento acabado" es tan solo relativo, puesto que, especialmente en estudios de carácter longitudinal, la propia evolución de las categorías estudiadas puede obligar a modificar el sistema, sea en el sentido de introducir o eliminar categorías, o bien adecuando su definición. Desde esta segunda posibilidad, que obligaría a los observadores a una vigilancia continuada en aras a una adaptabilidad segura, se manifiestan Bakeman & Gottman (1989), al decir que un sistema de categorías puede evolucionar en la medida en que es utilizado por codificadores inteligentes.

     Ejemplo:

     En la evaluación de la conducta de juego real en hockey sobre patines, el sistema de categorías de los tiros a puerta podría ser:
T11: Acción de Tiro, ejecutada desde el Area, Mal Orientado (no es un disparo entre palos y por tanto nunca puede ser gol).
T12: Acción de Tiro, ejecutada desde el Area, Bien Orientado (es un disparo entre palos y no transformado en gol).
T13: Acción de Tiro, ejecutada desde el Area. Es un disparo entre palos y transformado en Gol.
T21: Acción de Tiro, ejecutada desde los Pasillos laterales, Mal Orientado (es un tiro fuera de palos y por tanto nunca puede ser gol).
T22: Acción de Tiro, ejecutada desde los Pasillos laterales, Bien Orientado (es un tiro entre palos y no transformado en gol).
T23: Acción de Tiro, ejecutada desde los Pasillos laterales-. Es un disparo entre palos y transformado en Gol.
T31: Acción de Tiro, ejecutada desde el pasillo Central, Mal Orientado (es un tiro fuera de palos y por tanto nunca puede ser gol).
T32: Acción de Tiro, ejecutada desde el pasillo Central, Bien Orientado (es un disparo entre palos y no transformado en gol).
T33: Acción de Tiro, ejecutada desde el pasillo Central. Es un disparo entre palos y transformado en Gol.


2.4.3. Categorías especiales

     Reciben esta denominación algunos casos atípicos que detallamos a continuación:

  1. Categoría nula y ficticia. Partimos de la base de que el "todo" es inobservable en el flujo de conducta, y no por falta de posibilidades o viabilidad técnica, sino por la indefinición conceptual que implicaría. De aquí que las categorías que conforman un sistema constituyen un subconjunto de la realidad observable en la situación estudiada, y la exhaustividad del sistema se refiere tan solo al sector (o sectores) del comportamiento que se acotó previamente. Por este motivo, conviene introducir siempre en el sistema la categoría nula (también denominada "categoría conjunto vacío"), que se refiere a la ausencia de ocurrencia de cualquiera de las conductas que se consideran relevantes según el sistema, y que se convierte en imprescindible cuando interesa un posterior análisis secuencial del comportamiento de forma que, a la vez, el registro dé cuenta del orden real de conductas relevantes. Esto implicaría constatar la presencia intercalada de otras que no se sometieran a estudio. Un ejemplo, en el fútbol si tenemos en cuenta las categorías de "pérdidas", "recuperaciones", "tiros" y "posicionamientos defensivos"; entre cada una de ellas hay una serie de conductas que no están categorizadas, y que compondrían la categoría nula, como son "pases", "cesiones", "conducción del balón", "regate", etc.

  2. Categorías residuales. Es habitual una desafortunada consideración de la categoría intitulada conocida como "Anotaciones al margen", a la que se relega cualquier información que no encaja con las categorías de las que se dispone. Debe distinguirse entre la necesidad de registrar informaciones adicionales que podrán ser de utilidad en la interpretación de los resultados (y que sí darían lugar a las "Anotaciones al margen") de lo que se considera como Varios o Miscelánea en que, tan sólo durante el proceso de elaboración del sistema, tendría el carácter de una categoría provisional, pero de la que se debería ir vaciando el contenido a medida que se avanzase en la adecuación del conjunto de las categorías, sea desglosando algunas de ellas, creando otras, o reelaborando la definición para que tenga un mayor alcance o comprehensividad.

  3. Sistemas o escalas o pautas de observación. En el apartado anterior se insiste en la necesidad de elaborar los sistemas de categorías "ad hoc", y por tanto, lograr una mejor adaptabilidad a la situación o comportamiento objetivo. En términos un tanto jocosos, Bakeman & Gottman (1989) han rechazado la idea de categorías multifuncionales. Por otra parte es lógico, ya que las informaciones específicas que conformarán el nivel de plasticidad de cada categoría no quedarían contempladas. A pesar de ello, y especialmente en la década de los setenta, proliferaron los sistemas de observación, o sistemas standard de categorías -ver relación en Anguera (1983)-, que pretendían una evaluación rigurosa del comportamiento (cuestión distinta es que lo lograran), y que se caracterizaban por una fácil aplicabilidad y cómodo manejo; Karafin (1973) sistematizó a este efecto una serie de reglas para la clasificación de eventos observados y facilitar la obtención de validez y fiabilidad suficiente.

    Cada sistema de observación, además, se especifica por otras características adicionales, como rango de las dimensiones observadas, definiciones operacionales de las categorías, grado de objetividad, tipo de conductas observadas, unidad de medida, registro de secuencias, número de sujetos observados, mantenimiento de la identidad individual, codificación, equipo, etc., y siempre dentro de una determinada orientación teórica.

    En la actualidad, su uso ha decrecido considerablemente, considerándose obsoletos muchos de los sistemas construidos.

    Un matiz un tanto distinto presentan las denominadas pautas de observación, generalmente relativas a hábitos (de orden, aseo, etc.) y al ámbito escolar (adaptación a la escuela, relaciones con los compañeros, relaciones con el profesor, aprendizajes escolares, etc.), tratando de evitar, en la medida de lo posible, que las valoraciones resulten contaminadas de los indicadores de los que se parte. Muchas de las pautas de observación (Bassedas, Coll, Huguet, Marrodán, Miras, Oliván, Planas, Rossell, Seguer y Solé, 1984) han sido elaboradas como guía para cumplimentar el dossier psicopedagógico y la "ficha de observación sistemática" que -con denominación incorrecta- figura en el expediente personal de los alumnos en los centros educativos. El principal problema radica en su carácter forzosamente estereotipado y en la dificultad de que constituyan un adecuado material base para un posterior análisis diacrónico, lo cual equivale en alguna medida a darle una cierta relevancia a valoraciones puntuales del comportamiento, pero no sistemáticamente a lo largo de un seguimiento en el tiempo.


2.5. Muestreo observacional

2.2.5.1. Caracterización y requisitos

    La calidad de la utilización de la metodología observacional depende en buena medida de cómo los observadores "han trasladado los eventos a los datos" (Bass & Aserlind, 1984, p. 2), y aquí se incluye una de las cuestiones fundamentales que es preciso plantear: ¿Qué conductas, en función del objetivo, son las que hay que "trasladar"? Las respuestas podrían ser variadas: Aquéllas que una vez seleccionadas ocurrieran en cualquier momento, las que ocurren en una sesión, o en un intervalo, o las seleccionadas aleatoriamente dentro de una sesión, o las iniciales de cada período de tiempo, o las que el observador simplemente considera interesantes, etc.

    En metodología observacional, dados los requisitos de no preparación de la situación ni intervención (y por tanto no presentación de consigna), no tendría sentido alguno una recogida puntual de datos por su falta de consistencia, al hallarse sometidos a los efectos de multitud de variables de las que en su mayor parte ni siquiera sospechamos. De aquí la necesidad de incorporar la dimensión temporal en metodología observacional, de forma que, gracias al seguimiento de las ocurrencias a lo largo del registro, puedan fijarse "bloques" de flujo de conducta suficientemente dilatados en el tiempo para contar con una garantía en la recogida de datos.

    La situación óptima es evidente: El registro de las conductas que se van a evaluar debería ser idealmente continuo, adecuando a ello las unidades de registro, y codificando, en consecuencia, todas las conductas que previamente hubiésemos considerado como relevantes -en función del criterio de selección- en el flujo de conducta. De esta forma, la cuestión, por una parte, se desplazaría al establecimiento de límites, y, por otra, a su viabilidad.

    El establecimiento de límites también vendría marcado, al menos en buena parte, por el objetivo del estudio. Si se está evaluando la capacidad ofensiva de un equipo, los límites deberían abarcar todos los períodos de tiempo en que el equipo esté en situación de ataque.

    La segunda cuestión planteada es la de su viabilidad. El volumen de información que se obtiene mediante la metodología de observación es muy elevado. Por ejemplo, toda la obra de Barker & Wright (1966), en sus más de 400 páginas, tan sólo describe, minuto a minuto, un día (desde las 7 a las 20'30 horas) en la vida de un niño; o bien, a partir en este caso de un sistema de categorías elaborado previamente mediante registro no sistematizado, Quera (1986) completó 121 hojas de chequeo sólo con un registro efectivo de 10 horas 3 minutos (exactamente 36201 segundos). De ahí que convenga plantear habitualmente la necesidad de seleccionar muestras de conducta (de forma análoga al muestreo poblacional desde una población de sujetos anteriormente delimitada) a partir de la población observacional que significa el registro que se obtendría de los comportamientos pertenecientes al flujo de conducta entre los límites fijados.


2.5.2. Criterios taxonómicos

    Al margen de las decisiones acerca de la suficiencia y representatividad de los datos recogidos a partir del muestreo observacional, y tomando en consideración, desde una perspectiva de desarrollo histórico, los trabajos pioneros de Goodenough (1928) y Arrington (1943), el clásico de Altmann (1974), y los más recientes de Ary & Suen (1983), Bass & Aserlind (1984), Brulle & Repp (1984), Casby (1984), Harrop & Daniels (1985), Klesges, Woolfrey & Vollmer (1985), Smith (1985), Harrop & Daniels (1986), Martin & Bateson (1986), Mehm & Knutson (1987) y Bakeman & Gottman (1989), entre otros, resulta que pueden plantearse dos criterios fundamentales que se cruzan respecto a la clasificación de las técnicas de muestreo: a) Comportamental vs. temporal o cronométrico, y b) en función del nivel de control externo o grado de estructuración de los datos (que podemos dicotomizar, pero que de hecho se presenta en un "continuum").En este punto conviene aclarar una cuestión polémica sobre la que existen opiniones dispares. Algunos autores, como Sackett (1978) y Fassnacht (1982), confunden muestreo observacional con registro, debiendo precisarse que se trata de decisiones distintas por parte del investigador, ya que muestreo se refiere a cuándo se debe observar (y si hay varios sujetos a cuál), mientras que registro corresponde a cómo debe hacerse (independientemente de que en un registro, incluso narrativo, convenga incorporar la información sobre unidades temporales; por ejemplo, la descripción de Barker & Wright (1966), mencionada antes, está realizada a partir de intervalos de un minuto, incluyéndose esta información temporal). Finalmente, para elegir una técnica de muestreo, el investigador deberá considerar cuidadosamente las características conductuales y del(de los) sujeto(s) observado(s), así como las preguntas que se formularon al inicio del estudio.Se basan en el criterio comportamental, según el cual se seleccionan y extraen las ocurrencias de conducta desde su inicio hasta su fin, independientemente de su duración, y, por tanto, completas en su ejecución. Entre sí se diferencian en virtud del grado de estructuración del estudio.


2.5.3. Muestreo "ad libitum"

    El muestreo "ad libitum" corresponde a experiencias (no investigaciones) no sistematizadas, y se trata de notas de campo obtenidas con el único criterio de juzgarse interesantes por parte de quien las recoge, o bien de registrar "todo lo que puede", o aquello que "es más fácilmente observable" (Altmann, 1974, pp. 227). El principal inconveniente del muestreo "ad libitum" estriba en la subjetividad en el criterio de selección, que implica un proceso selectivo en una determinada dirección, así como el atribuir idéntica probabilidad a todas las conductas (Bekoff, 1979), lo cual no es cierto (ya que tanto se registra, por igual, un hecho raro e inusual como uno que sea habitual). Diversos autores (Chalmers, 1968; Altmann, 1974) coinciden al afirmar que uno de los sesgos principales se debe a que unos sujetos son más fácilmente observables que otros, y ello es consecuencia de las diferencias en las proporciones de tiempo en que cada uno es observable, es decir, accesible para ser observado.


2.2.4. Muestreo de eventos

    El criterio base en el muestreo de eventos consiste en la selección, como unidades de la muestra, de todas las ocurrencias de una conducta o gama de ellas que tengan lugar a lo largo de las sesiones establecidas, independientemente de su duración, y, por tanto, desde su inicio a fin. Por ejemplo, si interesa estudiar la evolución de los "tiros" en el hockey sobre patines en división de honor, y se definen mediante la aparición de algunas o todas de determinadas manifestaciones conductuales (tiro desde el área, desde la zona de pasillos laterales, desde el pasillo central, etc.), siempre que puedan registrarse éstas, al extraerse del flujo de conducta para ser estudiadas en su agrupamiento, secuenciación, repetibilidad, etc., constituirán muestras de eventos.


2.5.5. Muestreo focal

    En el muestreo focal se registran todas las acciones de un sujeto previamente seleccionado (sujeto focal) y de las que se le dirigen, y, por tanto, con exhaustividad en su doble papel de actor y receptor (por ejemplo, el jugador número 10 en un equipo de fútbol). Además, constituye prácticamente la única técnica de muestreo que se adapta a la observación de un pequeño grupo de sujetos (por ejemplo, la línea de zagueros en una rotación en un partido de voleibol).

    Existen diversas variantes del muestreo focal, sugeridas esencialmente por etólogos y por investigadores interesados en el estudio de la conducta social. Aunque no todos ellos coinciden, sí existe una cierta uniformidad en la consideración del factor temporal.

    Una variante que resulta de interés por adaptarse a un mayor grado de control externo y por su evolución consiste en el registro idiográfico de sujetos que se hallan en un grupo mediante rotación, asignando a cada uno una parte del tiempo proporcional de cada sesión -es decir, un determinado número de intervalos-, la cual se iniciaría con la observación de aquel sujeto que se hubiera seleccionado aleatoriamente. No obstante, si no se introducen precauciones, ello comportaría un riesgo importante, dado que, en función del curso de la sesión -y, en consecuencia, de la sucesión de conductas a lo largo de dicha sesión, o de sus partes si las hubiera-, no serían "estrictamente equivalentes" dichas partes de sesión asignadas al registro focal de cada sujeto, por lo que, para solventarlo, se procedería a la partición de dichos períodos con el fin de que se pudieran realizar más "rondas" de muestreo, y así, cada sujeto, sería registrado en más de un período, aunque más cortos.


2.5.6. Muestreo de tiempo

    De entre todas las técnicas de muestreo observacional, el muestreo de tiempo es, con mucho, la que más ha atraído la atención de los investigadores y sobre la que se han desatado más vivas polémicas.

    Sin embargo, debemos tener presente que las conductas que estudiamos no guardan generalmente una relación con el tiempo, ni se distribuyen regularmente a lo largo de él. Su densidad, ritmo, ciclicidad o carácter esporádico son variables, y fue precisamente Barker (1963) uno de los primeros en llamar la atención a la confianza ajena de toda crítica que consideraba el tiempo como la base principal para el muestreo de la conducta, no debiendo olvidar que en esta confusión ha influido el hecho de que buena parte de investigadores equipararan erróneamente registro y muestreo.

    El muestreo de tiempo, por sus características de criterio cronométrico y elevado control externo, presenta condiciones que podrían parecer óptimas en cuanto a objetividad respecto a la selección de unidades muestrales, pero se le achacan críticas referidas esencialmente a la inconsistencia de las unidades de tiempo que se puedan considerar, a la posible falta de representatividad de la muestra, y a la dificultad que se deriva si interesa un análisis secuencial del comportamiento. Para su estudio más detenido (Quera, 1989, 1993), deben especificarse sus distintas modalidades:

  1. Muestreo instantáneo o de puntos de tiempo ("scan sampling"). Implica una discontinuidad tanto en la observación como en el registro, siendo éste puntual e instantáneo cada cierto período de tiempo, que incluso puede venir marcado mediante sonidos grabados en un magnetófono, o mediante un zumbador, o por un generador de señales que puede emitir tonos. En el muestreo de puntos de tiempo, éste se considera "vacío", y, por tanto, sólo se registra la presencia/ausencia de una determinada conducta (o varias) en cada uno de los instantes programados.

        La puntuación se expresa como la proporción de los puntos de muestra en los que se ha registrado presencia de la conducta, obteniéndose un índice relativo a toda la sesión. El muestreo instantáneo no puede proporcionar frecuencias o duraciones verdaderas.

        En definitiva, un buen número de trabajos empíricos han considerado el muestreo instantáneo como capaz de suministrar una buena aproximación a la proporción de tiempo que ocupa la ocurrencia de las conductas estudiadas. La cuestión estribaría únicamente en la decisión acerca de la separación entre los puntos de tiempo, que debería ser lo menor posible, aunque teniendo en cuenta la duración promedio de la conducta estudiada (que debería ser mayor que la separación entre puntos de tiempo). Por supuesto, si se utiliza una separación entre puntos de tiempo cada vez más pequeña, llegarían a perderse los beneficios prácticos del muestreo de tiempo, en cuyo caso, y en su lugar, se utilizaría un registro continuo, y, por tanto, no muestreo observacional.

  2. Muestreo de intervalos ("one-zero sampling"). Mientras que en el muestreo de puntos de tiempo se registraba presencia/ausencia en instantes específicos, y por tanto "tiempo vacío", en el muestreo de intervalos, como su nombre indica, interesa saber la presencia/ausencia de conducta durante el intervalo, registrándose una vez transcurrido éste; por tanto, la observación es continua, pero el registro discontinuo (sólo al final de cada intervalo). Existen dos variantes básicas: Muestreo de intervalo parcial y de intervalo total.


2.6. Formatos de campo

    Los formatos de campo son un instrumento de observación alternativo a los sistemas de categorías, que recientemente dejó de ser considerada sólo como una técnica de registro y ha adquirido relevancia por si mismo. Como afirma Anguera (1979), los formatos de campo garantizan el registro sistemático de varios aspectos de un evento natural, para lo cual éste se proponen criterios relevantes y para cada uno de ellos se desarrolla un listado de conductas situadas bajo su cobertura, y conocidas mediante las sesiones exploratorias. No obstante no constituyen un sistema cerrado, sino abierto y versátil. Su registro se realiza a través de su representación en forma de códigos, símbolos, etc., de acuerdo con notaciones previamente establecidas.

    En el trabajo de Weick (1968) cuando se describen los formatos de campo en el apartado correspondiente a la codificación de eventos, se afirma que este tipo de formato es ideal para su utilización en la observación de eventos naturales porque aseguran que sistemáticamente se puede atender a varios de sus aspectos. Cita como trabajos importantes los desarrollados por Guest (1955), Hall (1963) y Melbin (1954). El sistema de notación desarrollado por Hall (1963) para recoger la conducta proxémica es de gran interés.

    Como ejemplo dentro del ámbito deportivo podríamos citar el sistema de notación construido para codificar el sistema de tiro en el hockey sobre patines (Hernández Mendo, Areces, González Fernández y Garea, 1994) y que se articula de la siguiente forma:

     Tiros en Hockey sobre patines, criterios:

    Otro de los ejemplos que se pueden citar en este ámbito es relativo a las recuperaciones de la posesión en fútbol (Hernández Mendo, Areces, Vales, González Fernández, 1995).

    Recuperaciones de la posesión en fútbol, criterios:

    Acerca de este tipo de registro Anguera (en prensa) afirma que los formatos de campo requieren un primer establecimiento de criterios (por ej., en la evaluación del uso ecológico/conductual de los objetos del entorno por parte de un paciente psiquiátrico, los posibles criterios serían la ubicación, conducta verbal, actividad, contacto con objeto, etc.), una propuesta de conductas (lista no cerrada) correspondientes a cada uno de ellos, y a partir de aquí se elabora la lista de configuraciones. La configuración es la unidad básica en el registro de formatos de campo, y consiste en el encadenado de códigos correspondientes a conductas simultáneas o concurrentes, el cual permitirá un desarrollo registral exhaustivo del flujo de conducta, y una enorme facilitación para posteriores análisis de datos (Anguera, 1987; Mitjavila, 1990). Por lo que de forma resumida para la elaboración de formatos de campo se pueden reseñar cuatro fases:

  1. Elaboración de criterios.

  2. Asignación de códigos a cada una de las posibilidades que deriven de cada uno de los criterios.

  3. Elaboración de configuraciones.

  4. Análisis de datos.

    Las diferencias entre los formatos de campo (FC) y el sistema de categorías (SC) se pueden establecer en los siguientes puntos:

  1. En situaciones complejas el SC es de difícil utilización mientras que el FC no ofrece problemas.

  2. El FC se puede elaborar en ausencia de marco teórico, y por tanto en situaciones empíricas, mientras que el SC requiere marco conceptual y datos de la realidad.

  3. El FC es un sistema abierto (se pueden añadir códigos una vez se ha iniciado su utilización), lo que contrasta con la rigidez del SC.

  4. Ofrece enormes posibilidades para el análisis de datos (análisis de conglomerados, estudios de sinomorfía, análisis de secuencialidad, análisis de correspondencias).


2.7. Parámetros primarios y secundarios

    Por lo que respecta a la MÉTRICA DEL REGISTRO OBSERVACIONAL se pueden considerar diversos criterios, sin embargo vamos a considerar el propuesto por Anguera (1990) y recogido también en Carreras (1993). De forma sintética se clasifican en Medidas de carácter básico o primarias y Medidas derivadas o secundarias. Por lo que respecta a las primeras distinguimos las siguientes:

     1. Frecuencia7. Es el número de ocurrencias de una determinada conducta en un período previamente fijado. Esta medida es aplicable tanto a conductas-estado (duración mayor que la unidad de tiempo disponible) como a conductas-evento (duración muy pequeña o despreciable). Su capacidad informativa es sumamente baja. Se representa mediante fi.

     Ejemplo8: Consideremos un sistema de categorías H={A, B, C, D, E}. En una sesión de observación de hockey sobre patines se ha registrado la frecuencia de ocurrencia de cada una de las conductas definidas, siendo:

fA=56,fB=36,fC=39,fD=2, fE=59

     2. Duración. Es la siguiente unidad primaria a considerar y consiste en registrar las unidades convencionales de tiempo que abarca cada ocurrencia de una determinada conducta. Solemos representar la duración por f.

     Ejemplo: Sobre la observación anterior, vamos a considerar tres tipos de conducta9:

     fA: Acción ofensiva de contraataque que se inicia con una recuperación de la posesión de la bola, finalizando con un tiro y siempre con superioridad numerica del equipo atacante.

     fB: Acción ofensiva de ataque que se inicia con una posesión de la bola, finalizando con un tiro y no hay superioridad numérica del equipo atacante.

     fC: Acción defensiva que se inicia con una pérdida de la bola, finalizando con un tiro o con una recuperación de la posesión y puede haber superioridad numérica del equipo atacante.

    Los contraataques realizados han sido:

    La duración de fA=180.76.

    Por su parte los ataques recogidos en la observación son:

    De acuerdo a lo expuesto en la tabla 4 la duración de los ataques ha sido fB=191.47.

    En cuanto a las acciones defensivas observadas son:

    La duración de las conductas defensivas es fC=193.06.

    En el trabajo de Carreras (1993) se citan otros tipos de medición de la duración, el lapso y la latencia.

a. LAPSO: es el tiempo en el que la conducta no está presente, es útil para conocer el tiempo transcurrido desde la finalización hasta el nuevo inicio de la conducta.

    En este caso, la diferencia entre dos posesiones puede ser indicativo del tiempo que el equipo contrario está en posesión de la bola y por tanto en situación de ataque.

     b. LATENCIA: es el tiempo transcurrido desde que ocurre una determinada frecuencia hasta el inicio de otra. Para ilustrarlo nos pueden servir los ejemplos utilizados anteriormente sobre la duración de un contraataque, un ataque y una acción defensiva; ya que su cuantificación se utilizó la diferencia de tiempo, por ejemplo, entre una recuperación de la posesión y un tiro.

     3. Intensidad. En este tipo de unidad no se busca cuantificar la presencia/ausencia de una conducta sino su intensidad o amplitud. Como afirma Anguera (1990) no existe una definición universal de intensidad, aunque un índice simple puede ser la tasa local, que se define como el número de actos por unidad de tiempo que conforman la actividad que se estudia (p.e. la conducta de tiro es un acto discreto dentro de la conducta o acción ofensiva). En este punto Carreras (1993) cita la utilización de escalas ordinales rating scales que permiten asignar un valor (ordinal10)

    Por lo que se refiere a las medidas secundarias, se identifican las siguientes:

     1. Tasa. Es el número promedio de ocurrencias de una conducta xi por unidad de tiempo o también la estimación de la densidad temporal de una conducta o de una categoría. Se representa por ti y se halla al dividir la frecuencia de la conducta por la duración total de la observación.

D=tiempo total de la observación

    La tasa se mide en s-1 (número de ocurrencias por segundo) o ks-1 (número de ocurrencias por kilo segundo ó 1000 segundos). Esta medida es útil cuando deseamos comparar la frecuencia de dos sujetos distintos que han sido observados en sesiones diferentes con distintas longitudes o en la misma sesión durante distintos tiempos (p.e. comparar el número de tiros efectuados por dos jugadores en el mismo partido, uno ha jugado todo el partido y el otro la mitad).

     Ejemplo: Si utilizamos las frecuencias descritas en el ejemplo que estábamos utilizando:

2. Frecuencia relativa. Es un coeficiente que permite estimar la probabilidad de que al seleccionar al azar una de las ocurrencias de conducta registradas en una sesión, ésta sea la ocurrencia de la categoría (o de la conducta) xi.

    Se representa por pi y se obtiene dividiendo el total de ocurrencias de la categoría (o de la conducta) xi entre el total de todas las categorías (o conductas) de la sesión de observación.

S pi= 1 11

Ejemplo:

fA(POSE)=5                 

     Tanto la tasa como la frecuencia relativa pueden considerarse medidas secundarias de la frecuencia, a estas dos, de acuerdo con Anguera (1990), hay que añadir la Frecuencia modificada (FM) o número de intervalos12 que ocupa una conducta específica a lo largo de sus distintas ocurrencias. Puede haber un registro de una conducta en una parte del intervalo (lo que implica la adición de una unidad en el conjunto de las frecuencias modificadas, como si hubiera ocupado un intervalo completo exacto) o bien varias ocurrencias sucesivas dentro del mismo intervalo. En cualquier caso se entiende que no se contabiliza la ocurrencia simultánea de dos o más conductas ni se contempla esta posibilidad, por lo que debe calcularse sólo si el sistema de códigos es mutuamente excluyente. La utilización de la FM debe ser en combinación complementaria con otras medidas de registro que aseguren una correcta interpretación. Es conveniente tener presente los equívocos que puede originar la utilización de la FM debido a la longitud de los intervalos que pueden ocasionar errores interintervalo (debido a razones de ocurrencia de las conductas) y errores intraintervalo (cuando los códigos no son mutuamente excluyentes) descrito por diversos autores (Jones, Reid y Patterson, 1975; Repp, Roberts, Slack, Repp y Berkler, 1976). Con el objeto de paliar estos problemas Sanson-Fisher, Poole y Dunn (1980) desarrollaron un procedimiento para determinar la longitud adecuada de un intervalo en el registro de la conducta, con la finalidad de seleccionar aquel que proporciona mayor precisión en cada caso, introduciendo a la vez un nuevo concepto de FM denominada Frecuencia modificada de Sanson-Fisher (FMSF), según la cual de las distintas conductas que pueden ocurrir en un intervalo, solo la que predomina, en cuanto a duración, suma una unidad a la cifra que representa su FMSF en el cómputo global, y, en caso de registrarse un solo tipo de conducta, se requiere que ésta ocupe al menos el 50% de la duración del intervalo para que se contabilice como una unidad. Más adelante estableceremos la relación entre la FM y otros parámetros.

     3. Duración relativa. Es un coeficiente que permite estimar la probabilidad de que al extraer al azar un intervalo ªt, comprendido entre t y t+ ªt, la categoría (o la conducta) xi se encuentre comprendida en él. Se representa por pi y se obtiene al dividir el número de unidades de tiempo ocupadas por la categoría (o la conducta) xi entre el número de unidades de tiempo que ocupa el total de la sesión de observación.

     D=Sf1

     S pi =1 13

     Ejemplo:

     Continuando con uno de los ejemplos propuestos en el caso del cálculo de la duración en el que se recogían los ataques14 producidos en un encuentro de hockey. Los ataques recogidos son:

    De acuerdo con todo lo anterior, la duración de los ataques ha sido FB=191.47. Si tenemos en cuenta que la duración de un encuentro de hockey es de 50' (3000 seg)15 la duración relativa16 será:

     4. Duración media. De acuerdo con Carreras (1993) la duración media es la estimación de la esperanza matemática de la variable "duración de la ocurrencia" (o de una conducta o categoría). Para que la estimación sea rigurosa es necesario que todas las conductas se hayan observado de principio a fin con el objetivo de conocer el número de unidades de tiempo invertidas en cada ocurrencia y la frecuencia de las mismas. Se representa por di y su cálculo se realiza dividiendo el total del tiempo de duración de la conducta xi entre su frecuencia.

    En el ejemplo utilizado anteriormente la duración era: y su frecuencia es fB=12, de aquí que

    Las medidas secundarias expuestas a continuación están enraizadas en el estudio de la secuencialidad (Gottman y Notarius, 1978; Sackett, 1978; Bakeman y Gottman, 1986; Anguera, 1988, 1990; Gottman y Kumar, 1990) 5. Frecuencia de transición. Es el número de veces que ocurre una determinada transición entre un par de categorías (o conductas) concretas. Se representa mediante fij (para las categorías xi y xj)

    Ejemplo:

    Deseamos conocer la frecuencia de transición que existe entre las pérdidas (PERD) y las defensas individuales (DIND).

    La frecuencia de transición entre las pérdidas y las defensas individuales es fAB=2.

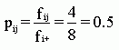
     6. Frecuencia relativa de transición. Es el cociente que permite estimar la probabilidad de transición de xi a xj. Se representa mediante Þij.

     Siendo

     fij=n? de transiciones con la categoría (o conducta) xi en primer lugar y xj en segundo lugar.

     fi+=n? de veces en que a la categoría (o conducta) xi le sigue cualquier otra categoría (o conducta).

     Þij= p(xj en t/xi en t-1)

     Ejemplo:

     Siguiendo el ejemplo anterior, nos interesa conocer la Frecuencia relativa de transición entre las posesiones (POSE) y las defensas individuales (DEIN).

     De acuerdo con estos datos obtenemos que fij=2 y fi+=3 y por tanto la frecuencia relativa de transición es:

     7. Frecuencia relativa condicionada. Es una estimación de la probabilidad de transición en la ocurrencia de una categoría (o conducta) xj condicionada a la ocurrencia de otra categoría (o conducta) xi, mediando entre ellas una serie discreta de ocurrencias de otras categorías denominadas retardos. Por lo tanto, la frecuencia relativa de transición es un caso particular de la frecuencia relativa condicionada.

     Siendo

     fij=n? de transiciones con la categoría (o conducta) xi en primer lugar y xj en segundo lugar con k retardos entre ambas.

     fi+=n? de veces en que a la categoría (o conducta) xi le sigue cualquier otra categoría (o conducta).

     pij= p(xj en t/xi en t-k) k=número de retardos

     Ejemplo:

     Estamos interesados en conocer la frecuencia relativa condicionada o lo que es lo mismo, la probabilidad de aparición de posesiones (POSE), seguidas de pérdidas (PERD) cuando ambas no van seguidas inmediatamente, sino que entre las dos media una conducta.

     De acuerdo con lo anterior la frecuencia de posesiones seguidas, en el segundo paso (retardo dos), de pérdidas es fij=4 y la frecuencia de la conducta criterio seguida de cualquier otra conducta es fi+=8

     8. Duración relativa condicionada. Es la estimación de la probabilidad de que ocurra una categoría (o conducta) mediando entre ellas cierto número de unidades de tiempo.

     Siendo

     fij=n? de unidades de tiempo que separan la categoría (o conducta) criterio xi, que va en primer lugar, y la categoría (o conducta) xj, en segundo lugar.

     fi+=n? de unidades de tiempo ocupados por la categoría (o conducta) criterio xi que son seguidos por cualquier otra categoría (o conducta).

     þij= p(xj en t/xi en t-k) k=número de retardos

     Ejemplo:

     Precisamos conocer la probabilidad que existe de que las defensas individuales (DIND) sean seguidas de recuperaciones (RECU) en el siguiente intervalo temporal

    De acuerdo con lo anterior las frecuencias fij=19.58 y fi+=50.28, por lo que la duración relativa condicionada es:


2.2.8. Tablas de microanálisis

    Revisada la métrica del registro observacional, consideramos importante referirnos a las tablas de microanálisis por una triple razón, nos va permitir (a) llevar a cabo una representación de los datos observacionales (especialmente de los datos tipo III o States), (b) nos servirá para situar la relación entre los parámetros de frecuencia, secuencia y frecuencia modificada; y por último (c) nos va a permitir un ajuste de datos especialmente en casos de inobservabilidad17. Las tablas de microanálisis fueron propuestas por Sacket (1978), siendo su principal función facilitar la comparabilidad a través de la búsqueda previa de determinados parámetros. Las tablas de microanálisis están formadas por medidas de frecuencia, frecuencia modificada, frecuencia modificada de Sanson-Fisher, orden y duración. La representación se lleva a cabo, como describe Anguera (1990), después de haber establecido intervalos y constatando en cada uno de ellos el orden de ocurrencia de las distintas conductas que lo componen, que se indica con las cifras situadas en las columnas correspondientes.

Ejemplo:
La sesión de observación se ha dividido en intervalos de 5", para realizar la tabla de microanálisis vamos a utilizar únicamente los dos primeros minutos de la sesión:


2.2.9. Ajustes por inobservabilidad

    De acuerdo con esta tabla de microanálisis y teniendo en cuenta los períodos de inobservación18 que ya han sido comentados (Sackett, 1978; Anguera, 1988, 1990; Carreras, 1993), podemos llevar a cabo el ajuste de datos necesario.

    Así, para el ajuste de datos de la frecuencia, se procede de la siguiente manera:

     a. Conociendo el tiempo de inobservabilidad (=12) y el tiempo observable (=74) calculamos lo que podríamos denominar coeficiente de inobservabilidad (CIN), éste sería igual a: OBS29.GIF

     b. Se calcula la Frecuencia Adaptada (FA ) multiplicando la Frecuencia por el Coeficiente de Inobservabilidad y sumando posteriormente dicho producto a la frecuencia de la conducta que se pretende ajustar.

    Para el ajuste de la Frecuencia Modificada se procede de forma similar aunque con diferencias:

     a. Se calcula el número de intervalos de inobservalidad. Para esto, de acuerdo a lo señalado por Sackett (1978) acerca de la estimación de intervalos de inobservabilidad: (i) la inobservabilidad se inicia en proporción al número de conductas que ocurren en el intervalo de salida (en nuestro ejemplo hay dos conductas, por lo que se considerará medio intervalo, en el caso de tres se consideraría un tercio y así sucesivamente) y (ii) la inobservabilidad termina en proporción al número de conductas que ocurren en el intervalo de vuelta o final (en nuestro ejemplo no hay más conductas, pero al igual que en el caso anterior si fueran dos consideraríamos medio intervalo, si tres un tercio, etc.). En el ejemplo de la tabla 16 deberemos considerar 0.5 intervalo de salida, 1 intervalo completo y 1 intervalo final, en total 2.5 intervalos; que descontados del total de intervalos (15) nos dan un total de intervalos válidos (IV) de 12.5.

     b. Cálculo de la Frecuencia Modificada Adaptada (FMA ) que se obtiene al dividir la FM de la conducta entre el número de intervalos válidos (IV) y multiplicando este cociente por el número total de intervalos (NI), en nuestro ejemplo para el caso de POSE:

    Para ajustar los datos relativos a la duración se procede de manera similar al cálculo de la FMA, esto es, se divide el tiempo durante el cual ocurrió la conducta entre el tiempo real de observación (el tiempo de observación menos el de inobservabilidad, en nuestro caso 74-12=62) multiplicando este cociente por el tiempo total de observación.

    Uno de los parámetros citados es el de Frecuencia Modificada de Sanson-Fisher (FMSF)19, su interés fundamental radica en que ayuda a reducir los errores interintervalo e intraintervalo a través del cálculo de la longitud del intervalo óptimo. Está basado en el concepto de conducta preponderante en un intervalo, según la cual, de las distintas conductas que pueden ocurrir en un intervalo sólo la que predomina en cuanto a duración suma un tanto a la cifra que representa su FMSF en el cómputo global de la sesión. Para evitar los errores intraintervalo que se producen como consecuencia de desechar las conductas no-preponderantes, se propone, que al iniciar una investigación que incluya metodología observacional, se elija una longitud mínima de intervalo que se toma como unidad -y que de hecho se llene con la mera ocurrencia de cualquiera de las conductas-, y respecto a ella se valoren toda una serie de "posibles" tamaños de intervalo con el fin de conocer su variación en porcentajes de eventos y porcentajes de duración. Se elige la longitud de intervalo más adecuada calculando para ello el porcentaje de pérdida de información (Anguera, 1983).


Lecturas: Educación Física y Deportes · http://www.efdeportes.com · Año 8 · Nº 49   sigue Ü