|
Aportaciones del análisis secuencial al baloncesto: una aproximación Antonio Hernández Mendo, Susana González Villena, Mª Amalia Ortega García, José Ortega Orozco, Rosa Mª Rondán Roldán (España) Universidad de Málaga mendo@uma.es
Resumen
Abstract |
Lecturas: Educación Física y Deportes | http://www.efdeportes.com/ revista digital | Buenos Aires | Año 5 - Nº 18 - Febrero 2000 |
Introducción
El baloncesto es un deporte de equipo que puede ser considerado como una situación social, dinámica, cambiante y, por tanto sociomotora, donde los jugadores siempre van a estar en interacción, bien con los compañeros, bien con el adversario (Parlebas, 1976). Este ámbito de estudio lleva implícito el concepto de interacción motriz, considerado como la acción entre los participantes, no como una yuxtaposición de acciones separadas, sino como una intermotricidad en la que el comportamiento de uno de los participantes no toma sentido más que en el contexto de esa relación de mutua inferencia entre ellos.Parlebas (1976), en su intento por profundizar en el tema, hace una distinción clara entre la interacción motriz esencial y la interacción motriz inesencial. La interacción motriz esencial, también denominada comunicación práxica, se define como: "la interacción motriz que participa en la realización instrumental de la tarea y que es efectuada por los participantes explícitamente previstos a este efecto por las reglas del juego" (Parlebas, 1976, p. 183).
![]()
Sin embargo, la interacción motriz inesencial viene a referirse al "tipo de interacción que presenta una influencia afectiva en la conducta motriz" (Parlebas 1981). Por tanto, puede decirse que el baloncesto, principalmente, se caracteriza por el uso de una comunicación práxica entre los jugadores.
El baloncesto entendido como una situación sociomotriz, y el deporte en general no pueden ser analizados bajo procedimientos estáticos sino en las situaciones reales de juego y/o entrenamiento. La metodología observacional, por su parte sí permite este tipo de análisis, cuantificando el comportamiento espontáneo en su escenario natural de conducta.
La metodología observacional1 , procedimiento que implica un seguimiento de todas las fases propias del método científico se caracteriza por tener un escaso o nulo control interno, un mínimo control de las variables, tiene un grado máximo de naturalidad, el investigador tiene sobre todo una participación pasiva.
Al inicio de la investigación se han de cuestionar una serie de criterios como; la estrategia a seguir (empírica-inductiva, racional-deductiva en función de la ausencia/presencia del marco teórico de referencia respectivamente), criterio de inobservabilidad, grado de control externo, nivel de participación, tipo de diseño (secuencial heterocontingente, no secuencial heterocontigente, mixto, Losada, 1997), tipo de dato y tipo de análisis.
Para el registro de la conducta observada las estrategias que pueden emplearse son los sistemas de categorías y los formatos de campo, que garantizan el registro sistemático. El análisis de los datos observacionales va a estar en función del tipo de diseño (que vendrá determinado por los continuos idiográfico/nomotético y puntual/seguimiento (Anguera, 1988, 1990) y por el tipo de datos I, II, III, IV (Bakeman, 1978) o Event Sequential Data (ESD), State Sequential Data (SSD), Timed event Sequential Data (TSD) e Interval Sequential Data (ISD) (Bakeman y Quera, 1995) En este sentido, Anguera propone una serie de diseños que coinciden con los cuadrantes: diseños diacrónicos, diseños sincrónicos y diseños mixtos.
En términos de Losada (1997) y en su intento de propuesta por clasificar a los diseños observacionales, como superación a los diseños observacionales de Anguera, propone una serie de dimensiones o atributos que configuran la propia situación observacional: la extensión en el tiempo, los sujetos observados y las conductas. Así, el estudio del comportamiento se puede analizar teniendo en cuenta las siguientes dimensiones o atributos:
- La dimensión temporal, que se puede analizar desde una perspectiva, no secuencial, es decir, medir la unidad de observación en diferentes momentos; y desde una perspectiva no secuencial que consiste en medir la unidad observacional de forma continuada a lo largo de todo el período de observación.
- La dimensión sujetos, que también tiene dos posibilidades: único sujeto ( n=1), en la que se registra el comportamiento de un sujeto o un grupo, entendidos como una unidad de observación; y las situaciones en las que se registran varios sujetos (n> 1) o grupos de sujetos.
- La dimensión conductual, finalmente, se define por secuencias homogéneas en las que el flujo conductual se refiere a una sola conducta en función de su ocurrencia o no-ocurrencia, y secuencias heterogéneas, compuestas por conductas diferentes, representadas en los llamados sistemas de categorías.
Teniendo en cuenta todo ello, los diseños diacrónicos corresponden bien a diseños secuenciales autocontingentes de caso único o secuenciales heterocontingente de caso único. La técnica de análisis más indicada es el análisis secuencial de retardos. El análisis secuencial de retardos es un conjunto de técnicas que pretenden detectar la existencia de patrones de conducta, o configuraciones estables de comportamiento, por encima de las probabilidades que le otorga el azar (Hernández Mendo, 1996). Consiste en averiguar como cambian las probabilidades de ocurrencia de ciertas conductas en función de la ocurrencia previa de otras; por lo tanto, se ponen en relación medidas conductuales obtenidas diacrónicamente, es decir, en momentos diferentes de la sesión de observación.
El propósito del presente estudio es determinar la secuencia o patrón de interacción en los jugadores de baloncesto, desde una perspectiva global entre acciones y desde el análisis del "pase de balón" como comunicación práxica.
Método
Sujetos
Se codificaron tres entrenamientos de un equipo de baloncesto de la liga ACB, UNICAJA-Málaga, grabando previamente en soporte audiovisual. Los sujetos intervinientes fueron un total de 11, pertenecientes a dicho equipo.
Material
El material utilizado en las codificaciones y en el análisis estadístico ha sido: Una cámara de vídeo, un magnetoscopio con sistema VHS, una televisión, un ordenador con microprocesador Pentium (200 MHz de velocidad, 64 Mb de RAM y 200 Mb en disco duro), un paquete estadístico SPSS v.8.0. para Windows y el programa de análisis secuencial SDIS-GSEQ (Bakeman y Quera, 1995).
Procedimiento
Partiendo de una estrategia inductiva, se establecieron los criterios para la elaboración de un sistema que permitiese formatos de campo (Anguera, 1979; Weick, 1968; Hall, 1963), y posteriormente la construcción de un sistema de categorías.La estrategia de recogida de datos se encuadra, dentro de la propuesta de clasificación de diseños observacionales de Losada (1997), como un diseño secuencial heterocontingente de caso único.
Los datos, que en este caso se trata de formatos de campo, se someten a análisis secuencial (Bakeman y Quera, 1995) mediante la transformación en secuencias de intervalos (Hernández Mendo, 1996), utilizando la técnica de retardos o Lag Method.
Se realizaron dos tipos de análisis: un primer análisis global en el que se tuvieron en cuenta todos los criterios, tanto jugadores como acciones; y un segundo análisis, en el que se tomó como conducta criterio de acción el "Pase de balón".
Basándonos en los estadísticos chi-cuadrado, rechazamos la hipótesis nula (estabilidad en la sucesión de las secuencias por encima de las probabilidades que predice el azar), a un nivel de significación mayor de .05. A continuación, las z hipergeométricas (residuos ajustados), transición por transición, nos señalan cuáles son los patrones secuenciales.
Resultados
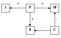
El análisis secuencial se realizó sobre los datos obtenidos a través del sistema de formatos de campo, calculando cinco retardos.En el primer análisis global, se han encontrado dos patrones de conducta que se extienden al retardo dos: Un patrón de activación, correspondiente a la categoría P (pase de balón), con una bifurcación de tipo triádico (iniciado por los jugadores 8, 1 y 10) y, un segundo patrón de carácter inhibitorio, correspondiente a la categoría C (Tiro a Canasta), con una bifurcación de tipo diádico (jugadores 8 y 10), ambos en el retardo uno, con una heterotransición positiva en P y una autotransición de carácter inhibitorio al retardo dos. En el retardo 3 el patrón se colapsa y desaparece.
![]()
![]()
Figura 1. (a) Grafo de transición 0. (b) Grafo de transición 1.
(Los patrones de activación se señalan con +, y los de inhibición con - )
En el análisis de los "Pases" se han encontrado los siguientes patrones de conducta:
- Se ha obtenido un patrón que se inicia en el jugador número 8, de estructura arbórea de tipo triádico con una autotransición al retardo dos, que se colapsa y desaparece posteriormente;
- El patrón b se inicia con el jugador número 10, que presenta un único eslabón en el retardo uno, y con una autotransición y una heterotransición de carácter inhibitorio en el retardo dos, que igualmente se colapsa y desaparece.
- El jugador con el que se inicia el patrón c es el número 1. Presenta una estructura arbórea de tipo triádico con una autotransición y dos heterotransiciónes de carácter inhibitorio en el retardo dos. En el retardo tres se produce un colapso, se repliega el patrón y acaba con una heterotransición de carácter inhibitorio.
- El patrón d, iniciado con el jugador número 4, presenta estructura de tipo tetradiádico, con una autotransición y dos heterotransiciones de carácter inhibitorio al retardo dos, continuando con una de éstas (correspondiente al jugador número10) al retardo tres, manteniendo su carácter inhibitorio, y una heterotransición ( al jugador número 8). En el retardo cuatro la hipótesis nula se retiene porque el nivel de significación es mayor de .05.
- El jugador con el que se inicia el patrón e es el número 3. Aparece en el retardo dos con un único eslabón de carácter inhibitorio, y una heterotransición al retardo tres con carácter de activación; posteriormente, se colapsa y desaparece.
- Se ha obtenido un patrón iniciado en el jugador número dos, en el retardo dos, con estructura arbórea de tipo diádico, que continúa al retardo tres, que se colapsa y desaparece.
Figura 2: (a) Grafo de transiciones en el retardo 0. (b) Grafo de transiciones en el retardo 1.
Discusión
En el primer análisis global entre acciones, la coocurrencia es lógica entre acciones y sujetos que aparecen como iniciadores de dicha acción: tanto el sujeto 1 como el 8 y el 10 aparecen como iniciadores de la acción "Pase de balón"; al mismo tiempo, la ocurrencia de la acción "Canasta" está inhibida en dos de esos jugadores - el 8 y el 10 -. El retardo dos nos puede estar indicando que antes de un "tiro a canasta" se halla producido un pase y no se produzcan con mayor probabilidad, dos tiros a canasta contiguos.El segundo análisis en el que utilizamos como concepto de pase la comunicación práxica, los resultados son coherentes con los obtenidos en el análisis global. Las autotransiciones al retardo dos pueden significar que los sujetos 8, 10, 1 y 4 son generadores de pases, en la lógica del tratamiento de datos utilizada.
No existen coocurrencias en el retardo cero debido al cambio cualitativo en la secuencia de datos. La coocurrencia no tiene sentido: es la primera transición que se produce.
Los patrones de carácter inhibitorio (negativos) indicarían las "no elecciones" (en términos de Moreno), esquematizadas en los grafos de la Figura 1 y 2.
Este estudio es una primera aproximación a la utilización del análisis secuencial en el conocimiento de la estructura de los grupos deportivos y, por extensión, de los pequeños grupos.
Nota
- Debemos distinguir observación como técnica y como metodología, la principal diferencia estriba en el grado de abstracción que cada una supone. En el primer caso es una mera técnica de recogida de datos, en tanto que la segunda supone la planificación de estrategias de recogida de datos, de muestreo, sujetos, procedimiento, análisis y las conseguientes predicciones.
Referencias
ANGUERA, M.T. (1979) Observación de la conducta espacial. VI Congreso Nacional de Psicología. Pamplona.
ANGUERA, M.T. (1983) Manual de prácticas de observación. México: Trillas.
ANGUERA, M.T. (1985) Metodología de la observación en las Ciencias Humanas (30 ed. ampliada). Madrid: Cátedra.
ANGUERA, M.T. (1986) Niveles descriptivos en metodología observacional. Apuntes de Psicología, 16 (1), 29-32.
ANGUERA, M.T. (1988) Observación en la escuela. Barcelona: Graó.
ANGUERA, M.T. (1990) Metodología observacional. En J. Arnau, M.T. Anguera y J. Gómez, Metodología de la investigación en Ciencias del Comportamiento (pp. 125-236). Murcia: Secretariado de Publicaciones de la Universidad de Murcia.
ANGUERA, M.T. (1991a) La observación como metodología básica de investigación en el aula. En O. Sáenz (Ed.) Prácticas de enseñanza. Proyectos curriculares y de investigación-acción (pp. 45-74). Alicante: Marfil.
ANGUERA, M.T. (1991b) Proceso de Categorización. En M.T. Anguera (Ed.), Metodología Observacional en la investigación psicológica, Vol.1 (pp. 115-167). Barcelona: PPU.
BAKEMAN, R. & QUERA, V. (1995) Analyzing interaction: Sequential analysis using SDIS and GSEQ. New York: Cambridge University Press.
HALL, E. T. (1963). A system for the notation of prosemic behavior. American antropologist, 65(5), 1003-1026.
HERNÁNDEZ MENDO, A. (1996) Observación y análisis de patrones de juego en deportes sociomotores. Santiago de Compostela: Tesis doctoral, Servicio de Publicaciones e Intercambio Científico.
LOSADA, J.L. (1997) Propuesta para una categorización de los datos observacionales. V Congreso de Metodología de las Ciencias Humanas y Sociales. Sevilla.
SACKETT, G.P. (Ed.) (1978) Observing Behavior: Data collection and analysis methods. Baltimore: University Park Press, vol. II.
SACKETT, G.P. (1980) Lag sequential analysis as a data reduction technique in social interaction research. In D.B. Sawin, R.C. Hawkins, L.O. Walker & J.H. Penticuff (Eds.) Exceptional infant. Psychosocial risks in infant-environment transactions (pp. 300-340). New York: Brunner/Mazel.
SACKETT, G.P. (1987) Analysis of sequential social interaction data: Some issues, recent developments, and a causal inference model. In J.D. Osofsky (Ed.) Handbook of infant development (pp. 855-878). New York: Wiley.
WEICK, K. E. (1985) Systematic observational methods. In G. Lindzey & E. Aronson (Eds.). Handboock of social Pychology (pp. 357-451). Reading, Mass.: Addison-Wesley, vol. II.
Otros artículos: de Antonio Hernández Mendo
sobre Aprendizaje Motor | sobre Baloncesto
|
|
|---|---|
|
revista digital ·
Año 5 · Nº 18 |
Buenos Aires, febrero 2000
© 1997/2000 Derechos reservados |
|